前言——Uniswap V3(如下简称 Uni V3)放出了很多 feature,然而其最为本质的迭代依然是对 AMM 数学曲线的再思考。在过去的两年中,我们也躬身入局 AMM 领域,认为 AMM 最基本的曲线形态已经定型,后续的创新应该会在 AMM 基本曲线形态的基础上实现“策略化”,于是我们创造了 MOV 超导 V2。而如今我们看到了 V3,突然有一种“久别重逢”的感觉,在寻找这种感觉之余,我们也希望为大家呈现 AMM 最为深刻的思考路程。因为 AMM 的时代将会比想象得更为恢弘壮阔。
让我们直切正题,Uniswap V3 最耀眼的创新——在 AMM 上实现集中流动性。
V3 给出了一个虚拟储备金(virtual reserves)的概念,举例讲解:
在传统 V2 中,Alice 一次性将 500,000 DAI 和 333.33 ETH 注入储备池,总价值 $1m,提供全区间(0,\infty)的流动性,但实际上 ETH 的价格波动范围在很长一段时间内是有局部范围的,这种为全区间无私提供流动性的行为大大浪费了资本利用效率。
(注:在一个逐步走向成熟化的金融市场中,无套利原理和提升资本利用效率永远是两大核心诉求,也是后续 DeFi 产品向先驱 DeFi 发起挑战的出发点。)
数据:Uniswap继续以63%的交易量份额主导DEX领域:金色财经报道,区块链研究机构 Messari 发长推表示,再过去的一周时间里,L2s 连续第二周成为焦点,Optimism的“超级链”取得进展并将于最近推出,OP Stack 的格局正在扩大。ZK Rollup订单簿DEX ZigZag 自发布以来用户和交易量增长了 10 倍,迅速成为最受欢迎的平台。Uniswap 继续以 63% 的交易量份额主导 DEX 领域。[2023/4/1 13:38:20]
所谓的集中流动性便是让 LP 自主选择波动范围,只为该范围提供局部流动性,例如 Bob 认为未来一段时间内 ETH 的价格区间在(1000,2250),并且如果未来真的是在这个区间波动,Bob 希望自己获得的收益能够跟百万富豪 Alice 一样多,于是 Bob 一开始只需要投入 91,751 DAI 和 61.17 ETH,总价值 $183,500,远远小于 Alice 实际投入的资金。我们对照下图来解释其中的道理。

则
UNI的价格表现处于有史以来最好的月份之一:金色财经报道,UNI的价格处于有史以来最好的月份之一,7月30日达到近9 美元,而月初接近5美元,这是自2021年1月价格上涨 250%以来的最佳回报。Uniswap 的收益主要是由于更广泛的加密货币市场出现类似的上涨趋势。此外,UNI 还可以从所谓的“费用转换”提案中受益。
具体来说,监管Uniswap的社区治理系统已经讨论过是否应该赋予 UNI 持有者从Uniswap的3%交易费中赚取0.5%佣金的权利,而将其余部分奖励给流动性提供者。[2022/7/31 2:48:31]

即 Bob 所获得的虚拟曲线(D 值)几乎跟 Alice 一样。
上述计算过程是一种反证法,实际上用户 Bob 会向系统算法提出自己的需求输入,包括预测价格区间范围、当前价格点、最终想要获得的一个 virtual reserves 规模(即虚拟曲线 D 值)。有了虚拟曲线表达式的确定,可以轻松算出 a、b、c 三个确定的点坐标,进而便算出 ?x_{real}=61.17以及y_{real}=91751。
SOS在Uniswap上24小时交易量超1.35亿美元:12月25日,据 Uniswap 数据显示,SOS 24小时交易量已达1.3544亿美元。SOS 是 NFT 社区 OpenDAO 向全体 OpenSea 交易用户空投的 Token,此前在 OpenSea 进行过交易的用户皆可领取。[2021/12/25 8:03:28]
同时,也可以看到,一旦未来价格越出了区间,Bob 其中一种资产将彻底消失。

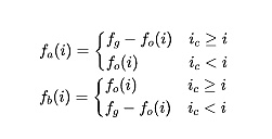
全局状态中有feeGrowthGlobal0(f_{g},0) 和 feeGrowthGlobal1 (f_{g},1)—f_{g},用来从全局角度统计总的手续费收益。例如,当在一个 tick 内发生了一笔交易,系统会计算出该笔交易产生的手续费:

f_{a}变量是对所有高于 i tick 的区间的 fee 统计,f_{b}是对所有低于 i tick 的区间的 fee 统计,因此在上述总公式中,我们从全局总累计手续费f_{g}中减去所有低于下界i_{l}的累计手续费,再减去所有高于上界i_{u}的累计手续费,便是(i_{l},i_{u})?之间的累计手续费。
Uniswap V3主网已启动:金色财经报道,据官方消息,Uniswap v3已部署到以太坊主网。根据官方文章,Uniswap v3是该协议迄今为止功能最强大的版本,集中式流动性为流动性提供者提供了空前的资本效率,为交易者提供了更好的执行力,以及去中心化金融的核心基础设施。[2021/5/6 21:27:25]
f_{o}可以理解为一个计算单元,用于累积截止到i?tick 的手续费,在它的初始化过程中,我们约定如下:
<img ?src="https://img.jinse.com/4923026_image3.png" ? auto";'>
再来看f_{a}的计算,分成了两段,可以理解为——
如果当前 tick 等于 i 或者高于 i,此时从全局总手续费f_{g}中减去“累积到 i tick”的手续费f_{o}(i),剩下的便是对所有高于 i tick 的区间的 fee 统计;
但如果当前 tick 还未抵达 i,此时根据对f_{o}的初始化定义为 0,则所有高于 i tick 的区间的 fee 统计尚未产生,为 0。
同样对于f_{b}——
霍比特交易所即将上线UNI等12个杠杆ETF交易对:据霍比特HBTC官方公告,霍比特HBTC杠杆ETF专区将于2月7日12:00(UTC+8)上线UNI等12个3倍多空杠杆ETF交易对。
此次上线的杠杆ETF交易对包括:UNI3L/USDT、UNI3S/USDT、SUSHI3L/USDT、SUSHI3S/USDT、1INCH3L/USDT、1INCH3S/USDT、FIL3L/USDT、FIL3S/USDT、LINK3L/USDT、LINK3S/USDT、COMP3L/USDT、COMP3S/USDT。
杠杆ETF是一种底层以基本的数字货币(比如BTC)价格为标的,实现距上一次调仓时刻收益率为同期标的资产收益率固定倍数(比如3倍或-3倍)的基金产品,相对合约产品而言,其具有操作简单、单边行情收益更高等显著特点。[2021/2/7 19:07:34]
如果当前 tick 抵达或者超过了 i,f_{o}(i)表示累计到 i 的手续费,也即对所有低于 i tick 的区间的 fee 统计;
如果当前 tick 还未抵达 i,对所有低于 i tick 的区间的 fee 统计值即为当前的全局变量f_{g}(当前总手续费)。
通俗来概括,系统算法要统计某一个 range 内累计的手续费,
如果当前 tick 已经处于 range 内部,即i_{l}\leq i_{c} < i_{u},只需要从全局手续费f_{g}减去所有低于i_{l}组成的 range 累计的手续费;
如果当前 tick 不处于 range 内部,且低于下界i_{l},说明尚未在(i_{l},i_{u})区间内产生交易,也就未产生手续费,因此该 range 内累计量为 0;
如果当前 tick 不处于 range 内部,且高于上界i_{u},需要从全局总量中分别去除“两头”各自的累计量,即从全局f_{g}中减去所有低于i_{l}区间累计量,再减去“从i_{u}到当前 tick 区间累计量”。
Uni V3 计算手续费的过程是一种从微观走向宏观的思想,它将空间划分成离散的,每一个时间刻度只会在一个离散空间上产生交易,从而产生手续费,每一个微观 tick 都在各自记录着自己从最低 tick 到自身这段区间内的累计手续费总和,然后供上述公式不断调用,以计算各种宏观结果。
Uni V3 已经改变了传统 AMM 对 LP 行为的设定,也不再基于全局流动性(Global Liquidity)和份额(Share)来为每一个 LP 计算手续费收益。对 V3 来讲,它只关注在每一个 tick 里存在多少“虚拟”流动性,以及这些虚拟流动性产生了多少手续费,算得单位虚拟流动性对应的手续费值;在这个时空之下,我们再把视角切到具体每一个 LP 上,对于任何 LP,都会存在一个“开仓”(Position)的区间设定,他在自己设定的区间提供了虚拟流动性,可能是一个 tick,也可能是连续多个 tick,从最简单的“一个 tick”角度解释,系统会记得同一时空下每一个 LP 在此 tick 注入的虚拟流动性值,并为他们确定出一个比例(注意这个比例只与最开始注入的虚拟流动性大小有关,并不涉及手续费转流动性,这与 V2 是不同的),以此分得该 tick 内所有手续费累计。
<img ?src="https://img.jinse.com/4923027_image3.png" ? auto";'>
在实际情况中, LP 们还会存在复杂的行为,比如注入/退出的时间纷杂、选择的 range/tick 纷杂。但 Uni V3 的大道至简之处正是利用全局计算来屏蔽掉单个 LP 视角,只关心 ticks 视角和 Position 视角。在确定好上述所述的一系列全局状态变量的定义后,认真记录好每一笔 swap 交易在 ticks 中发生的情况(包括只在一个 tick 内完成该笔 swap 交易,和需要跨多个 tick 才能完成该笔 swap 交易),同时只记录每个 tick 内虚拟流动性的大小,以此为根本去提供 swap 交易公式以及 swap 后手续费如何分配给参与该 tick 的所有 LP 们。LP 的复杂行为体现在空间的不连续性和时间的不统一性两方面,对于时间不统一性(即会出现很多 LP 不断加入和退出流动性),Uni V3 还会引入 Position 这一级别的全局变量为每一个身份(address)记录下其对 range/tick 加入/退出(“setPosition”)时手续费的统计(uncollected fee/feeGrowthInside),确保后来的 LP 不会参与到前序 LP 们已经累计的收益分配。
如果总结来讲 ,tick-level 是对空间上发生的统计,确保起点一致的 LP 们 fee 分配,而 Position-level 是对时间上发生的统计,确保不同起点的 LP 们 fee 累计起点不一样。建议实现者深入 V3 代码,才能真正获得安全计算法。
最后,Uni V3 过于复杂,但大道至简,即便去模仿,模仿者依然需要下功夫深刻了解其“微积分”思维。这篇文章只选择了 fee 这一个角度呈现 Uni V3 的“数学原理”,也是其实现集中流动性的核心逻辑。而在数学之外,我们有更多惊喜的“哲学意义”发现与大家分享,例如 LP token 的进化、NFT 其实并不只属于艺术领域(更有助于金融)、V3 会存在一个策略博弈、V3 对基金池/合成资产的启示等等,当然也包括与 MOV 超导 V2 的“心有灵犀”——AMM 的本质是连续性的无限网格,Uni V3 是在这个无限网格基础之上再实现了微观无限网格,是“无数网格机器人的叠加”,MOV 超导 V2 则是在无限网格基础之上进行了更为宏观的无限网格,是超级网格。请期待下一篇《Uni V3 的自然哲学》。
作者:比原链研究院
标签:TICICKUNISWAPCORE MultiChain Tokenkick币最新消息uni币价格今日行情BSCswap
用于超指数增长预测的具体比特币公式 介绍 正如我在故事“一点数学和比特币预测” 中详述的那样,当前的比特币价格遵循一个数学公式。现在已经在公式中添加了足够的值,我可以相应地对其进行更新并调整参数.
1900/1/1 0:00:00本文由“Fairyproof Tech”原创,授权“金色财经”独家首发,转载请注明出处。 一份审计报告是对一套智能合约的“质量检测报告”,那报告就要告诉用户所审计的对象是谁.
1900/1/1 0:00:00“碳中和”无疑是当下讨论最热的话题之一,目前全球有超过120个国家、2/3的经济体加入“碳中和”的大转型中。近期,受以比特币为代表的虚拟货币价格不断上涨的影响,全球挖矿迎来热潮,矿工们在寻求更高算力的同时,也注意到了环保的问题.
1900/1/1 0:00:00韩国总理周四表示,韩国将于本月晚些时候通过智能手机应用程序推出区块链疫苗护照。韩国正在加入其他一些国家的行列,引入疫苗证书,使跨境旅行成为可能,同时降低感染风险.
1900/1/1 0:00:00《觅新》是金色财经推出的一档区块链项目观察类项目,覆盖行业各领域项目发展情况,具体设计到项目概况、技术进展、募资情况等,力图为您呈现热门新潮的项目合辑.
1900/1/1 0:00:00谁也没有意料到,NFT(非同质化代币)的从小众圈层走向大众化的速度如此快。过去的几个月时间里, NBA巨星凯文·杜兰特、格莱美奖得主The Weeknd、日本著名艺术家村上隆、美国传奇影业、图形软件巨头Adobe Photoshop、.
1900/1/1 0:00:00