本文介绍了渐进式荷兰拍卖,一种能够有效地帮助欠缺流动性的资产完成公开销售的拍卖机制。GDA与此前已经被提出的「时间加权平均做市商」机制意在解决的问题类似,都是可以让资产在不依赖于市场已有流动性的基础上进行有效流通和销售。GDA的工作原理是将一笔拍卖分解为一系列荷兰拍卖。GDA允许你便捷地方式同时参与多个这样的拍卖。本文会提供更适用于NFT销售的非连续型GDA和更适用于代币拍卖的连续型GDA两种模型,以供读者理解这个新的拍卖机制。非连续型GDA
假设Alice想卖出1万件NFT。她不确定这些NFT的公允价格,所以她不想以固定的价格出售。相反,她可能会选择进行荷兰拍卖——从一个很高的要价开始,然后逐渐降低价格,直到所有的NFT都被卖掉。不过这种方式并不一定是最优解,因为市场上的买家可能并不足以一次性消化所有的NFT作品。相反,如果Alice一次拍卖一个NFT。例如,她可能会每分钟都开始一场新的荷兰拍卖,拍卖她的一件新作品。这将给市场更多的时间来为她的NFT艺术品找到一个公允的价格。非连续型GDA其实就是这一想法的延伸。机制非连续型GDA适用于销售NFT,因为这些资产必须以整数数量出售。工作原理是为每一个NFT举办一个虚拟的荷兰拍卖。在一个非连续型GDA中,每个拍卖都在同一时间开始,每个虚拟的独立拍卖都有一个更高的起价。每次拍卖的价格由价格函数给出,该函数的参数包含该拍卖在系列拍卖中的排序,以及正常拍卖开始以来的时间等。经过测算得出的一个较优的函数如下:
Paradigm聘请Willard Mitt Romney总统竞选总法律顾问Katie Biber为首席法务官:金色财经消息,加密风投机构Paradigm聘请Katie Biber为首席法务官。此前Katie Biber在金融科技公司Brex任职,并曾担任Willard Mitt Romney在2012年总统竞选时的总法律顾问。此外,Katie Biber还曾在数字资产平台Anchorage和Filecoin开发团队Protocol Labs董事会任职。(CoinDesk)[2022/6/6 4:06:32]

ParaFi Capital合伙人发起提案,希望在Compound中添加YFI作为抵押品:ParaFi Capital合伙人Santiago R Santos发推称:“我们已经发起了一份提案,以在Compound中添加YFI作为抵押品。Andre Cronje(yearn.finance创始人)认为在Maker等协议中添加FYI作为抵押品可能为时过早,但由于这些过程往往需要时间(1-2个月),因此我们认为现在就发起提案是有价值的。我们也不想仓促行事。”
注:Santiago R Santos此前曾表示已在MakerDao社区论坛发起了提议,计划Maker协议添加YFI为抵押资产,正在等待社区反馈。对此,yearn.finance创始人Andre Cronje回应称,虽然很高兴社区成员发起这个提议。但个人认为,这还是有些为时过早。由于DEX的流通量较小,YFI波动性可能会很高,因为大多数代币都还是在项目金库或治理中使用。[2020/8/29]
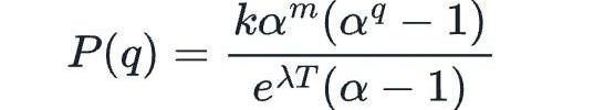
其中,每次拍卖的价格根据衰减常数λ呈指数衰减,每次拍卖的起价都增加了固定的比例因素α,第一次拍卖的起价则由初始价格k决定。批量拍卖的价格计算根据上述价格函数,我们可以计算出批量拍卖的总价。假定Bob想购买数量为q的待拍卖资产。为了做到这一点,他会购买在每一个独立荷兰拍卖中总量为q的最便宜的资产。而目前时间为拍卖开始后T时刻,迄今为止共计售出总量为m,则Bob购买q数量资产的总价格P为:
动态 | PARSIQ监视平台已支持监视比特币网络:PARSIQ监视平台已支持监视比特币网络,其用户现可跟踪比特币网络数据和分析比特币网络活动。(CryptoNinjas)[2020/1/7]

把价格函数代入之后,我们可以得到最终的价格计算公式:

动态 | 加密货币交易员ParabolicTrav称其将开始做多:加密货币交易员ParabolicTrav发推称在长时间无动作之后,他将开始做多。尽管他认为比特币价格可能会继续看跌至7900-8200美元,但总体上已接近周期低点。(BeInCrypto)[2019/11/15]
如果假定一些具体的数值之后,我们可以得到如下的一个结果案例:

连续型GDA
在完成NFT销售之后,Alice现在想卖掉一些标准代币。当然她也可以使用上述非连续型GDA机制,打包「分段」售出她手中的代币。然而Alice可能不想让她所有的代币都能立即出售,例如她希望代币按照每天360枚的恒定速度释放。那么她就可以选择用一系列标准的荷兰拍卖中出售自己的代币,而不是使用一次GDA进行所有的销售。比如她可以每小时进行一次15代币拍卖,或者每分钟进行一次0.25代币拍卖等等。连续型GDA的工作原理就是将这个过程限制到极限,即拍卖之间的时间间隔接近于0。这意味着销售被分成无限的拍卖序列,每个拍卖出售无限小数量的代币。机制持续的工作原理是以恒定的排放速率逐步提供更多可供出售的资产。整个拍卖流程会在一系列的虚拟拍卖中被分解。这些拍卖随着时间的推移,以均匀的速度开始,每次拍卖都以相同的价格开始。每次拍卖的价格由某个价格函数给出,其中为自拍卖开始以来的时间。价格模型与非连续型GDA类似,价格根据衰减常数λ呈指数衰减,同时拍卖的起拍价为k:
现场 | Foundation X Parteer O Kwon:大公司更有机会做出强大的DAPP:金色财经现场报道,1月18日,Foundation X Parteer O Kwon在金色沙龙韩国站第二期的圆桌论坛上指出,比起一些在区块链领域创业的公司,可能现在没有进入区块链领域的大公司更有机会做出强大的DAPP。他解释说,DAPP是需要有用户基础的,但是小的创业公司没有用户基础,相反大公司的用户基础是非常强大的,所以只要引进区块链技术就可以了。同时,他表示,要出现一个“杀手级”的DAPP,需要有千万级别的用户,同时妈妈们和奶奶们都能使用。[2019/1/18]

参与拍卖的价格计算假如Bob想购买数量为q的代币,为了购入对应数量的代币,他需要参与q/T次拍卖,由于拍卖的价格是持续下降的,所以说他需要对当前所有可报价的独立虚拟拍卖中最早开始的那些进行报价。假设目前最早开始的拍卖的持续时间为T,那么数量q的代币的总价格P为:

在不考虑链上交互成本的前提下,代入价格计算公式后,完整的价格公式为:

代入一些假定的参数之后,可以得到如下的示例结果:

代码Paradigm还公开分享了GDA模型的Python模型以及可行性测试。结论
GDA可以用于同质或非同质资产的公开销售,且对于缺乏基础流动性的资产来说更具价值,这一拍卖机制的使用场景并不限于文中提及的简单案例,未来有望在更多应用场景中落地。
标签:PARNFTPARAARAPARADOX NFT BSCChainlink NFT Vault (NFTX)Paradigm ZeroDARA币
最近有关全链的热烈讨论主要是由于LayerZeroLabs的兴起,该团队总部位于加拿大,创建了互操作性协议LayerZero。如果您想深入了解,可以查看协议的白皮书.
1900/1/1 0:00:00拥抱MachineFi:去中心化机器金融的未来是新瓶装老酒还是一代新人换旧人?最近笔者的一个圈外朋友说自己原来从不运动的老婆这一个月天天准时到楼下跑步,还买了价值几千块的虚拟鞋子,赚一个叫GMT的代币.
1900/1/1 0:00:00Odaily星球日报译者|Moni 如今,玩赚类游戏开始结合DeFi和NFT的优势,利用金融机制和游戏体系来赋予用户权力,并逐渐变得越来越受欢迎。被称为「NFTFarmer」的MOBOX已成为该领域冉冉升起的一颗新星.
1900/1/1 0:00:00「每周编辑精选」是Odaily星球日报的一档“功能性”栏目。星球日报在每周覆盖大量即时资讯的基础上,也会发布许多优质的深度分析内容,但它们也许会藏在信息流和热点新闻中,与你擦肩而过.
1900/1/1 0:00:00撰文:DonovanChoy,Bankless撰稿人编辑:南风 Crypto的一项鲜为人知的创新是DAO(DecentralizedAutonomousOrganization,去中心化自治组织).
1900/1/1 0:00:00Web3媒体正在改变过去的游戏规则。我们处在一个文化生产力高峰的时代。在2020年,每天约有40000首新歌上传至spotify平台,而2021年,这个数字是每天约60000首.
1900/1/1 0:00:00