考虑到文章较长,我们分上、中、下三篇进行更新。自由激进主义:慈善配对基金的灵活设计VitalikButerin、Zo?Hitzig和E.GlenWeyl2018年12月Glen将这篇论文献给KwameAnthonyAppiah,他首先向介绍了自由社区主义辩论,努力协调中立性和灵活性与对社区的承诺是指导我们分析的精神。我们感谢JulianGewirtz、AtifMian、DannyErickson和EricPosner的有益评论,感谢AvitalBalwit和CharlieThompson提供的出色研究帮助。VitalikButerin:以太坊组织,http://vitalik.ca,vitalik.buterin/img/20230508210006659553/1.jpg "/>
对每个公民征收的人均税来资助。目前,我们还将假设公民忽略了他们对预算和由此产生的成本的影响。正如我们将看到的,这是否是一个没有影响的假设将取决于上下文;我们将在下面的§4.5中讨论这个问题。然而,最容易理解的是不用担心赤字的逻辑。4.1基本假设在这个假设下,公民I对物品p的贡献会被选为最大化

4.2与康德伦理学的联系或许更直观的推导LR的方法来自规范理论。道德哲学的一个经典原则,尤其是在犹太教-基督教传统中,是个人的行为方式应该对自私的动机不偏不倚。马太(7:12)引用耶稣的话,他吩咐他的追随者“对别人做你希望他们对你做的事”,塔木德引用拉比希勒尔将妥拉的教义总结为“对你来说是可恨的”不要对你的邻居。”康德(1785)在他的“绝对命令”中将这一戒律正式化,即个人应该“只根据你可以同时愿意它应该成为普遍规律的格言行事”。该原则与公共物品提供的相关性非常直接。搭便车的标准逻辑是,每个公民都认为自己愿意为公共利益做出贡献,如果她这样做,其他人也会这样做。例如,每个公民可能愿意看到她的税收增加1%以资助公共物品,但不愿意单方面做出贡献。事实上,Roemer(2010)已经提出,公共利益问题的正确解决方案是引起人类行为的改变,使每个公民都按照“康德均衡”行事。在每个公民都是对称的情况下,康德原则的适当应用似乎很简单:每个公民都应该表现得好像,通过为公共物品多出一美元,所有其他公民都会被诱导去做同样的事情。对于纯粹自私的公民来说,这可以通过每次贡献的N1比1匹配来反映。然而,在不对称的情况下,适当的原则不太清楚:如果所有公民的处境不同,那么每个公民通过她的行动使所有人类行为的最大普遍性究竟意味着什么?


V神:针对DeFi的批评不能“一杆子打死一船人”:5月21日消息,以太坊核心开发者、EIP-1559联合作者eric.eth发推表示:“最近对DeFi的负面评论太多了。许多人质疑它到底能带来什么好处。老实说,对此我很生气。对世界上任何一个人来说,无需许可地使用金融工具都足够强大,具有极致的意义和持久力。”
对此V神回复道:“我同意!要清楚的是,当我批评DeFi时,我不是在批评(I)糟糕的DeFi,就是在批评(ii)过度优化DeFi,以至于获得了微小的百分比增益,但忘记了让更简单的东西更具弹性和易用性。”[2022/5/22 3:33:22]
4.3自由激进机制的特性这个讨论让我们自然而然地考虑到LR机制的特性。首先请注意,它是一级同质的,从某种意义上说,如果一组固定的公民做出贡献并且将他们的贡献加倍,这将使资金加倍。这是一个有用且令人放心的属性,因为它意味着,除其他外:?更改货币对机制没有影响。通过将项目与同一组参与者拆分或组合,小组将一无所获。该机制运行的频率是否准确无关紧要,无论捐款是按月、日还是年汇总,除非捐款模式在一个重要方面存在时间上的不平衡。

第三,从这一点开始,请注意,一个社区分成两半,贡献概况大致相似,将获得整个社区总资金的一半:两半都将获得四分之一。这是对碎片化和原子化的明显威慑,也是LR机制能够解决公益问题的核心原因。然而,这个特征并不意味着在LR下只会形成非常大的社区。不同的公民集合在使用他们的资金时会有不同的目的,有些是小团体,有些是大团体。偏好异质性和规模收益之间的权衡是经济学家众所周知的,例如,从关于国家最佳规模的文献中。LR不会预先判断这个最佳规模,但与资本主义或1p1v不同的是,它提供了一种机制,可以在不同规模的社会组织之间创造真正中性的激励。然而,事实证明,出于明显的集体行动原因,需要为更大的群体提供更多的资金:每个公民在没有这种激励的情况下,往往会向更大的群体贡献更少的资金,如果她收到较小份额的相关利益。第四,请注意,如果一个公民试图使用该机制为自己致富,则该机制将恢复为标准的私人物品。在绝大多数贡献来自一个公民的情况下,对平方根总和的其他贡献大约会消失,我们只剩下平方根的平方,这只是贡献本身。更广泛地说,当我们处理近似私有的商品时,该机制将它们视为近似私有的商品。第五,实际上只是总结一下,该机制为许多小额捐款提供了比少数大额捐款更多的资金。这不是出于公平或分配正义的任何原因,尽管从这些角度来看可能有很好的理由来欣赏它所提供的结果。相反,这是因为相对于集中的利益,资本主义的大社区每个人都只获得很少的好处往往处于不利地位,这是民主理论的核心关注点,至少自Madison以来,并与MancurOlson的集体行动逻辑有关。虽然其中一些属性可能会打开这样一个系统,导致潜在的共谋或操纵,我们将回到下面的§5.2,但总的来说,我们将它们视为令人振奋的确认,我们的分析抓住了解决公共物品问题的直观核心。4.4用户情况确切地说,LR机制的“样子”超出了我们的范围,但对可能性的简要描述有望帮助读者想象它是为何可行的。任何公民都可以随时提议将新组织纳入系统。根据上下文,可能会有一个或多或少广泛的过程来被管理员批准在系统中列出;这对于范围有限的慈善赞助版本尤其重要,因为慈善家不想资助任何项目。公民可以定期向任何列出的项目捐款。公民将获得一些各种项目总资金的指示。这将有助于公民确定如果他们为特定项目贡献一点额外项目将获得的资助金额,以及项目是否有足够的资金获得成功。这将有助于避免项目过度分散:考虑到一个由许多人支持的项目比分散的项目可以获得更多的资金,因此一千个项目的扩散比资本主义少得多,即使在目前的资本主义下也有一定程度的协调似乎在实践中限制了这种碎片化。正如我们在下面的§5.2和5.6中所讨论的,需要系统的各种更详细的功能来帮助确保安全性并实现参与者之间的协调。此外,系统的精确外观和感觉需要更多的思考,甚至可能会以某种方式影响正式规则。我们都不是设计师,所以我们远非这些问题的专家。我们期待看到这些领域内的专家提出什么样的具体设计。4.5纳入赤字在前面的分析中,为了清楚起见,我们假设公民忽略了他们对赤字的影响。我们现在将看到消除这个假设有什么不同。假设公民i在减少预算赤字上有一个影子值λi;我们可以将其视为将通过向它征税来资助的赤字的一部分,或者,正如我们将在下面的第5.1节中探讨的那样,它减少对更大赤字所需的其他公共物品的资助的成本。
以太坊V神提出新的分片建议:EIP-4844:金色财经报道,以太坊创始人VitalikButerin在Twitter上分享了Proto-danksharding的想法,即专注于EVM无法执行的blob携带交易的数据验证场景。Proto-danksharding将取代danksharding,这是一种分片技术,其中只有一个提议者选择进入这个或那个槽的所有交易和所有数据,而不是为每个分片选择一个单独的提议者。提议的解决方案可以是一个临时变体,因为它包括了一些分片技术的实施。同时,它导致了数据使用的增加,因为它需要一个更大的区块大小。以太坊的创始人提议每30天自动删除blob数据,以防止网络对数据和内存存储的要求过大。[2022/3/21 14:08:04]



简而言之,虽然考虑影响赤字的激励措施会产生一些并发症和与完美最优性的潜在偏差,但影响很小且通常无关紧要。因此,我们在上面的主要分析中省略了它。§5变化和拓展
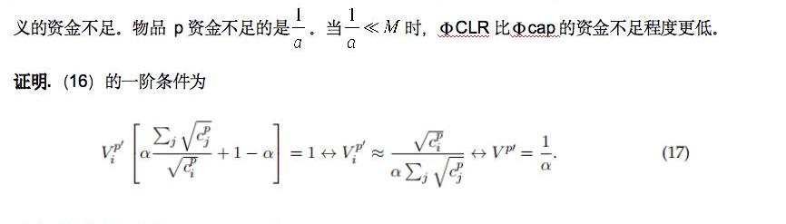
上面的概述遗留了许多在不同应用中悬而未决的问题。在本节中,我们将尝试解决一些最重要、最突出的问题。5.1预算配套资金在大多数实际应用场景中,LR的资金可能来自慈善家或一些政府专项拨款,而不是无限的税收。这种慈善的资助的一个好处是,如果大多数参与者个人不关心慈善家的财富,它消除了上述§4.5中的融资问题和对赤字的担忧。然而,大多数慈善家并没有无限的资金,因此不会轻易同意为任意巨额赤字提供融资。在本小节中,我们将描述LR机制的一个变体,它可以限制所需的资金及其一些好处。考虑一个规则,即资本主义的α权重与1?α的混合。我们称之为资本约束的自由激进(CLR)机制。考虑一个规则,它是权重为α的LR,以及权重为1?α资本主义的混合。我们称之为资本约束的自由激进机制。



该近似值基于为该产品提供资金的人口相对于任何个人而言都很大,真正的公共产品也是如此,不管是对小社区或者公民的产品供应。资金将比这个近似值要多,但这些额外的资金将主要来自私人渠道,而不是由慈善家补贴,因此不应该太担心。

V神警告庞氏局Forsage不要污染以太坊生态:V神刚刚转发“Forsage指责菲律宾央行对其进行抵制”的推特并表示,他们对抗你是因为你们是人的。这种项目依赖于每天有越来越多人进来给以前的参与者付钱,一旦没有新参与者,大部分用户会失去他们投入的一切,看看bitconnect,onecoin等等。请你们离开,以后不要污染以太坊生态。此前消息,Forsage被菲律宾证券交易委员会认定为庞氏局。[2020/8/11]

CLR的一些资金不足并非完全不可取,因为它可能会平衡由于扭曲税造成的私人物品投资不足,而这通常是资助这种机制所必需的,并且可以制止勾结,正如我们现在讨论的这样。5.2勾结和威慑LR的核心弱点,与其他基于单边优化假设设计的机制一样,都是勾结和欺诈。当多个代理为他们的共同利益行事而损害其他参与者时,就会发生勾结。当一个人假扮成多个人时就会发生欺诈。


这里有一个更广泛的观点。如果可能进行利益的完美协调,那么资本主义就会带来最佳的结果。LR旨在克服这种缺乏协调的情况,并在错误地假设协调困难时做出牺牲。这里有一点悖论:虽然LR试图通过其设计来引领社区发展方向,但这样做依赖于不存在的与设计之外的社区的强大联系。阻止欺诈和串通的合适方法将取决于该系统支持的功能。首先考虑欺诈行为,这是一个更简单、更具破坏性的问题。如果欺诈无法得到合理控制,LR根本无法起步;它将立即成为第一个欺诈者的资金泵。但是,请注意,几乎任何具有民主风格的系统都是如此:1p1v很容易通过欺诈而被利用。对欺诈的最简单和最必要的解决办法是一个有效的身份验证系统。除此之外,在可能的情况下,应该对提供大量捐款并因此获得大量资金的相对较小的团体进行审计,以确定是否发生了欺诈行为,并对欺诈者施加巨额罚款并把钱转给其他诚实的公民。考虑到社区建设和勾结威慑之间的紧张关系,勾结是一个更微妙、更有害的问题,可能是LR面临的最大挑战。在所有情况下,适度的α值和对资金充足的小型团体的审计将有助于阻止紧密的串通团体,并且可能主要解决这个问题。然而,阻止更广泛勾结的最佳方法将取决于环境的性质:其中公民友好且彼此认识的情况如在小镇,将不同于参与者对彼此信任度低并且高度多样化的情况就像在区块链社区中。我们首先考虑后一种情况,然后再回到前一种情况。在广泛的社会环境下,可以通过技术手段降低串通的可能性。长期以来,在投票系统文献中,人们一直认为,减少投票购买需要强大的隐私属性,称为抗强迫性:不仅投票是私密的,而且即使他们愿意,也无法向其他任何人证明他们投票支持谁。我们可以通过这种方法减少参与者权利来改善民主的结果,这似乎是自相矛盾的。但这样的悖论不幸地自然出现在一些常见场景中:参与者从一些行动,但只支付一小部分的成本。技术含量最低、甚至可能值得考虑的解决方案是真正的面对面投票站。在这些站点中,任何人都可以携带一定数量的现金进来,并在不同项目对应的不同箱子之间私下分配现金。个人会先将自己的捐款放入信封,然后再放入箱子,这样可以通过计数来推断捐款的大小。然后可以计算匿名投票,每个投票站只返回贡献的平方根之和,而不是任何个人贡献者的金额。投票站可能还有一个不与任何项目对应的箱子,参与者可以在那里存入钱寄回他们;这确保了即使参与者花钱也会被隐藏起来。这个过程将是低效的,但是强制抵抗的特性将以一种普通人能够理解并看到它为什么会成立的方式得到满足。也就是说,将基于LR的工具扩展到更多生活的场景,而不仅仅是不频繁的选举,比线下投票实际的效率更高,因此完全电子化的替代方案将是最好的选择。正如我们在下面的§5.6中所讨论的那样,以允许的最佳协调方式使这种低技术解决方案完全实现运转也将具有挑战性。可以实现强制抵抗的电子投票系统已经被开发出来,并且类似的工作已经扩展到二次方方投票的设置。这些方案通常依赖于称为多方计算的加密方案以及您可以信任部分公民的假设。它们允许选民产生某种形式的假密钥或假投票,攻击者无法将其与真实事物区分开来,但投票机制可以做到这点。然而,这些方案在设置时不可避免地存在漏洞:如果攻击者可以在流程开始之前贿赂某些参与者将他们的密钥交给攻击者,那么攻击者就可以使用这些密钥投票给攻击者想要的候选人。即使攻击者只有50%的时间“赢得比赛”,攻击者依然会产生很大的影响。因此,Juels等人进行了信任假设说明。用他们的话来说:我们假设登记阶段没有选民腐败。这种假设在某种程度上是无强制选举的要求,因为能够在这个初始阶段破坏和夺取选民证书的攻击者可以发起模拟攻击。更准确地说,我们必须对注册阶段做出三个假设中的一个:我们假设登记阶段在没有选民腐败的情况下进行。这个假设在某种程度上是无强制选举的要求,因为能够在这个初始阶段破坏和夺取选民证书的攻击者可能发起模拟攻击。更准确地说,我们必须对注册阶段做出三个假设中的一个:删除选民与R交互的数据是对选民的强制性要求。这可以防止攻击者在事后请求注册记录数据;对手不能贿赂R中的任何玩家。选民们会意识到R中任何腐败玩家的身份。进一步的攻击可以使用受信任的硬件,如SGX发生。攻击者可以贿赂选民,让他们在一个SGX区域中生成密钥,并使用来自该区域的签名来证明他们已经这样做了。这个区域将运行只允许发出与攻击者首选原因的投票相对应的信息的代码。并且不允许他们使用诱饵投票或密钥。这个属性——能够证明人们持有一个加密密钥,以便它可以用于某些目的而不是其他目的——是受信任的硬件所特有的。此外,它提供了攻击所有假定的抗胁迫投票方案的机会。可以通过一个假设的密码原语来减轻这种可能性,该原语代表一个“不在可信硬件内部的证明”,例如由于内存而导致的一些计算要求可以在传统硬件中完成,但不能在容量更有限的芯片中完成。另一种方法是Juels等人提出的。他们表示:权威机构发布本身位于受信任硬件中的私钥,从而证明它们不在其他被恶意使用的受信任硬件中。智能卡可能具有输出密钥并立即用诱饵密钥替换卡中存储的密钥的功能,允许任何用户在收到卡后立即询问该密钥并将其存储在某个秘密位置。想要购买用户选票的对手,即使他们购买了智能卡,也无法判断现在存储在卡中的诱饵密钥是非法的,但是投票机制使用多方计算来确保它不受任何单一政党的影响,能够并且会拒绝选票并接受原始选民的选票。通常,这些技术可以在LR设置得到使用。LR设置带来的主要新困难在于揭示用户在捐款上花费的总金额,以便可以减去他们的余额,并允许用户在机制内执行“向自己汇款”的操作。如果这个问题没有得到完全解决,用户就可以假装他们贡献的金额比他们贡献的多。多方计算除了计算贡献的平方根总和的平方之外,还可以计算来自该参与者的贡献的总和加上“诱饵量”。它还会要求每个参与者提供一个“诱饵退款地址”。该计算将持有一个完全保护隐私的支付系统私钥,例如Zcash,它将生成交易,退还参与者的诱饵金额并发布它们。该计算还将公布每个参与者的总贡献加上诱饵,以便可以从参与者的帐户中减去这些金额。其他适用于大规模、信任度相对较低的环境的潜在方案更具投机性,但基于利用和破坏运营所需的信任,可能会带来一些好处。针对大规模、相对较低信任环境的其他潜在方案更具投机性,但基于开发和破坏实施串通方案所需的信任,可能会获得一些好处。例如,代表系统运作的执法者可能会冒充寻求贿赂的选民;那些提供贿赂的人可能会受到惩罚。如果能够反抗胁迫,即使没有惩罚,这种诱饵也可以发挥作用,因为提供接受贿赂然后背叛行贿的简单行为会破坏勾结。诱饵还可以冒充行贿者并惩罚那些接受贿赂或未能履行贿赂行为的人。那些提供证据证明勾结正在进行的人可以获得大赦甚至奖励,并且可以通过对参与勾结的人处以罚款获得报酬。许多这样的方案目前在执法中得到了好的效果,并且可以通过周到的机制设计进行扩展和改进,这是未来研究的一个有趣方向。在相互知识和信任程度高得多的小群体中,许多这些方法的效果会较低。LR可能在这些场景下使用不太广泛。因为社会规范可能足以确保合理的公共物品供应。但如果情况不是这样就需要形成一种文化承诺,即子团体的勾结构成作弊,就像窃取公共资源将构成作弊一样。更一般地说,在小型和大型社会之间的情况下,将规范/社区执法与我们上面描述的正式计划进行合理组合可能足以解决勾结造成的问题。但是,作为LR有效运营的最大威胁,只有通过实验才能说明这些问题的严重程度以及如何最有效地克服它们。5.3负贡献并非所有的公共项目都能单独带来收益;有些人可能会通过制造污染等负面外部性或仇恨言论等冒犯行为来伤害某些公民。这并不立即意味着我们应该允许负面贡献来反映这些危害:其中一些负面外部性可以通过立法直接解决,允许公民为他们不喜欢的项目提供资金存在一些危险,并且正如我们在上面§4.5中讨论的那样允许负面贡献会带来一些棘手的问题。然而,在某些情况下,允许表达负面外部性的好处将超过这些担忧,因此负贡献将是可取的。LR允许负贡献的自然延伸是,公民可以根据相同的成本结构选择不资助公共物品。
声音 | V神唱衰中心化交易所:据TechCrunch报道,V神在接受TechCrunch的采访时表示除了潜在的51%攻击外,还会因过于集中而引发问题。 V神提到最近四川的洪水可能影响当地挖矿作业。因此,他希望通过设计使以太坊尽可能地多中心化。要使以太坊真正多中心化,需要克服的一大挑战就是用户身份验证。 V神希望中心化的交易所可以“在地狱中燃烧”,尤其某些中心化的交易所毫无理由的收取1千万美元到1500万美元不等的上币费。[2018/7/7]


然而,正如上文4.5中所指出的,如果公民考虑到其对赤字的影响,它主要允许导致资金不足的负面捐款,尽管正如前一小节中所指出的,一些这类资金不足实际上可能有助于阻止勾结。更广泛地说,负面贡献可能是阻止串通计划的一种相当强大的方式,因为它们提供了一种让任何公民都能成为反对欺诈和虐待的“治安维持者执法者”新方式。然而,这种好处的缺点显然是,在某些情况下,绝对的言论自由和其他保护措施可能会导致我们不信任这种维护治安的政策。简而言之,允许负面贡献有各种成本和好处,我们觉得它的可取性在不同情况下不同。5.4函数形式的变化人们可能自然会想,我们提出的函数形式是否是唯一最优的。我们相信,这有一定的巧合。我们为未来的工作给出了一个正式的证明,通过考虑一类同时嵌套LR和资本主义的规则来说明这一点,从而说明了一系列潜在的解决方案。


由于两个原因,该结果可能存在问题。首先,从效率的角度来看,这是有问题的。它远比我们在上文第5.1节中从CLR获得的受预算约束的效率差得多。这并不是说使用二次方方函数以外的函数没有意义,也不是说CLR不会导致有一些强烈支持者的项目的相对过度资助。在某些情况下,将平方根和平方函数替换为在原点附近表现得更像绝对值的函数可能会很有用,并且只会在更远的地方变成二次方方方,以避免大团体以极少量的钱进行琐碎的勾结。并且CLR在强烈支持者的支持下确实为商品提供了相对过度的资金,尽管只是在它具有资本主义元素的意义上。但一般来说,我们主要将这些其他功能形式视为帮助我们理解LR以及资本主义的失败的陪衬,而不是我们提倡使用的东西。5.5亨利·乔治定理到目前为止,我们对LR的资金来源很随意:我们想象资金通过善意的慈善家“从天上掉下来”,或者从公民那里免费收取。在本小节中,我们将更认真地对待这个问题,尽管一个完整的解决方案超出了本文的范围,并且是未来研究的领先方向。在深入研究之前,我们需要提供一些背景资料。我们关于如何为公共产品融资的问题是一个经典的问题,我们的解决方案遵循了乔治和他最重要的当代学术追随者威廉·维克里开创的解决方案的传统。这个“亨利·乔治定理”大多数人都比较熟悉。考虑一个刚修缮学校的城镇。通常情况下,那个城镇的房地产价值都会上涨。如果人们有足够的流动性,所有人都需要相同大小的房子,并且往往对学校的重视程度相同,因此,房地产的价值必须完全根据人们对学校的重视程度而上升。现在假设对于学校的改进是昂贵的。因此,只有当它的价值大于成本时,它才值得制作。那么房地产价值上升的总和应该超过改善学校的成本。因此,如果这种房地产价值的增长可以作为一种税收来征收,这种税收将超过改进学校而提供资金。因此,对土地价值征收100%的税就足以资助任何对学校进行的改善,这同样也适用于任何当地的公共改善。虽然这种基本逻辑是亨利·乔治本人想象这些理论的主要方式,也是最容易想象的,但维克里指出,这种逻辑既宽泛得多,在某种意义上也比这窄得多。范围更广是因为该逻辑不仅适用于学校或其他公共设施,还适用于任何使城市成为更理想居住地的事物,包括艺术馆或餐馆、企业或公共交通,如果有效定价低于成本,可能需要补贴等等。范围更广同样因为该原则适用于与土地无关的环境。例如,在一个加密货币社区中,我们应该期望由开源项目创造的使社区功能更好的价值最终会归于拥有该货币的人或在其上运行的营利性企业。然而,它的范围更窄,因为正是出于这个原因,显然需要征税的不仅是“土地”,还有其他有价值“汇”。这种价值“汇”在原则上可能与土地完全不同。例如,想象一个拥有无限同样美好土地的世界。但是假设每个家庭都有自己的语言,不能学习其他家庭的语言;因此,几乎不可能进行贸易和合作。现在想象一下,全世界有五个人有能力在人与人之间进行翻译和合作,但他们只能在某些局部地区做到这一点,而且只能做到一定数量的人,允许文明的爆炸性发展只在他们的所在地区附近。自然地,城市将围绕这些人形成,他们将能够为其服务收取几乎全部文明价值,因为他们总是可以威胁去其他地方开始另一个文明。在这种情况下,价值增加的递减回报资源将是这些特殊的个体而不是土地。从广义上讲,问题是如何为规模报酬递增活动所需的补贴提供资金。如果一项活动能够以比单独提供给这些人的成本总和更便宜的价格提供给许多人,那么它的规模报酬就会递增。此类活动的边际成本低于其平均成本,因此应收取的价格如果收取,则不会首先涵盖创建它的成本。这些活动的边际成本低于其平均成本,因此应收取一个一开始就不能支付创建它的费用的价格。因此,它将需要补贴。纯粹的公共物品是一个特例,但公共交通、疫苗、软件等都有这样的属性,如果只对使用它们的边际成本收费,就几乎没有机会能够覆盖掉创造它们的成本。亨利乔治定理(HGT)给出了这个问题的一般答案。它指出,只要这些商品创造的价值超过它们的成本,支持它们所需的融资就必须通过一些规模收益下降的活动获得的租金或利润来累积,例如作为土地,某种形式的固定资本或经济中某些代理人积累的垄断资产。因此,总是有可能通过对收益递减的租金征税来为公共物品的最佳供应提供资金。那么问题显而易见,如何确定值得进行的收益递增活动,以及如何在不损害经济的情况下识别与规模收益递减活动相关的租金并征税。LR对第一个问题提供了相当全面的答案,但没有回答第二个问题。尽管如此,减少回报的例子并不难列举,而且现有的税收明确规定对他们征税。交通繁忙道路的拥堵收费、空中交通权、土地税和企业利润税等政策都是旨在对递减回报活动征税。此外,George和Vickrey思想的实例提供了一种识别递减回报活动及其相关租金的特定方法。Harberger(1965)以及最近的Weyl和Zhang(2018)提议对任何愿意支付拥有者自我评估价格的买方具有强制购买权的资本征收自我评估税。由于这项税克服了卖家坚持增加资产的垄断问题,它可以减轻资产的分配不当,增加总财富,同时对与固定资产相关的租金征税。从这个意义上说,它完全符合HGT税收方面的要求。同时,它将在由LR治理的社会中扮演一个有趣的角色,因为由LR资助的社区可能是相关税收的主要支付者,因此它不仅会起到资助作用,而且还会起到在社区中分配资产的作用。使它们能够争夺稀缺资源。从这个意义上说,LR与Harberger税相结合,提供了一个有趣的愿景,即一个通过高效率的税收提供资金的新社会。综上所述,有几个警告值得牢记。首先,Harberger税虽然增加了总体价值,Harberger税虽然增加了总体价值,但至少在应用时需要一些投资来维持、创造或改进。Posner和Weyl认为,在大多数私人资本的最优利率下,私人生产性投资的回报率约为最佳水平的1/3倍。这导致了私人物品的资金不足,与上述5.1中α=1/3中公共物品的资金不足几乎相同。这指向一个有趣的平衡,在这个社会中,所有私人或公共投资的资金不足比率都是相同的,因此不同规模的项目之间没有偏差。对于Galbraith(1958)声称许多社会在“私人富裕”中面临“公共贫困”的问题,这将是一个令人满意的解决方案。一个更严重的问题是,一些租金最终不会产生于固定的物质资本,而是产生于人力资本或公民之间的关系,而公民之间的关系仍然是更广泛社会的一小部分。我们上面提到的五位翻译者的例子就是一个明显的例子,在一个人口不变的世界里,任何能平等地增加全球所有人的幸福感的公共物品也是如此:这些福利不会影响价格,而且只会直接惠及这些公民。在这种情况下,任何已知的有效税收都无法获得此类租金;扭曲的所得税是唯一被广泛接受的方法。这可能导致公共产品甚至私人资本投资的资金更加不足,以及对可以自由赚取租金的个人能力的相对过度投资。如何解决这个问题远远超出了本文的范围,但我们怀疑它会成为LR社会的主要社会问题。5.6凹面和动力解的失效
V神:数字货币是人类彼此互动的新选择:VICE中国发布采访V神视频,根据V神的回答,他大概在2011年2月第一次听说比特币,有人出价5个BTC写比特币博客文章,当时比特币价格0.8美元。之后,他用自己写文章赚来的比特币买了T恤。真正让他醍醐灌顶的是,他看到人们居然是可以一起创造一个新的金融体系,让他深受鼓舞的并不是要把所有的东西都抛弃,它更像一个理念。在此之前,金融等很多东西感觉就只能“上面那些人”搞,没了他们任何这种事情都不可能发生。而现在,金钱是一种一个群体能自主创造使用的东西。其实很早就有各种文件分享系统、去中心化通信系统,有一群密码朋克竟然能用去中心化方式做这些事,因为它代表着一种划时代的变化,一种人类彼此互动的新选择。有了比特币你就不再需要钱和银行了,都是直接点对点的操作,以太坊将其扩展成为数字智能合约的平台,它确实有颠覆的潜力。[2018/5/25]

这个问题的一个自然解决方案是通常被称为“保证合同”,由Dybvig和Spatt(1983)提出。最自然的实现是动态的,我们怀疑这就是LR机制在任何情况下的运行方式,但静态实现也是可能的。本质上,一个供款和提取供款的机制在一段时间内发生变化窗口是开放的。因此,公民能够做出贡献,而不必担心他们会“暴露”在其他人不会做出贡献的风险中。因此在达到相关阈值之前,每个公民都可以做出合理的贡献。本着Tabarrok(1998)的精神,如果公民同意暂时资助该机制以避免任何潜在的协调问题,那么企业家可以通过向公民付款来进一步促进交易。

参考文献:
如果每个人都是完全理性的,那么在极端情况下微小的贡献会影响大量的资金。我们不会在实践中提倡这一点,因为操纵这样一个系统的风险似乎比资金不足要严重2倍。人们可能会担心,公民不会像所说的那样采用这种机制,而考虑调整后会耗尽资金,因此,在给予额外的一美元时,他们会考虑从他们看重的其他项目中减去资金。然而,可以很容易地证明,这种关注在总体上等同于参数的变化。因此,如果选择只用尽预算,那么公民在多大程度上考虑这一点在是无关紧要的:如果他们确实考虑了这一点,则可以选择更高的价格来用尽预算,因为公民对预算的担忧实际上会降低商品的感知价值。用户可以收到一个小的,例如0.001%的“诱饵”捐款,鼓励每个人超额捐款,从而为那些想要隐瞒其总捐款较大这一事实的参与者提供掩护;这些参与者可以声称他们发送了大量的诱饵,并为此支付了利息。正如Eguia和Xefteris(2018)所示,在足够大的总体中,则应用于数字的函数的总和比应用于该和的函数更大。正如阿诺特所指出的那样,维克瑞是第一个发现正式HGT的人,但他是最后一个发表文章的人,因此无法让人们相信是他第一次发现了这个。HGT的一些最规范和更普遍的陈述是斯蒂格利茨和阿诺特和斯蒂格利茨的工作。例如,公民可以根据他人的贡献,说明他们想要贡献多少,或一些粗略的近似,例如他们贡献的最低阈值。然后,一个自动化的系统就可以计算出这些平衡值。但是请注意,Tabarrok的建议在不脱离资本主义的情况下,仅这样一种方案就足以为公共物品提供资金,这基本上是“错误的”:它基于效用函数在单个点上精确的无限导数的非一般假设。任何平滑的正弦结构都会破坏这一点并导致任意资金不足,无论结构如何。对于值的通用信息结构的字面上不连续的收益函数也是如此。有关竞选财务改革的有影响力的讨论,请参见Ackerman和Ayres(2002)、Lessig(2011)和Hasen(2016)。
标签:以太坊TERVITITA以太坊币今日价格行情Wrapped StateraVITESSocial Capitalism
过去一段时间,元宇宙概念链游持续火热,资本也重金投入以期占领风口。近期,元宇宙链游项目SIDUSHEROES宣布,获得2000万美元融资,参投机构包括AnimocaBrands、ArkstreamCapital、Polygon、OKE.
1900/1/1 0:00:00您正在阅读DAO之现状,这是一份用于理解DAO的高质量时事通讯。DAO之现状精选了来自DAO生态的高质量内容,并以易于理解的形式呈现供您参考。本周,我们以如何加入一个DAO为题,准备了一系列资源让你开启属于你自己的DAO之旅.
1900/1/1 0:00:00对于2022,大家已经有很多展望、预测与猜测。吴说团队与吴说的朋友们,也有一些想法与猜测,分享在此以供探讨。作为保留节目,当2022年底时,我们一起来看看,谁猜对了,谁又猜错了.
1900/1/1 0:00:00近日,Sushiswap陷入与多名离职成员争执的负面新闻中,被指控存在内部小圈子、逼走0xMaki、收回扣、不作为等种种问题,币价也一路下滑.
1900/1/1 0:00:00NFT数据日报是由Odaily星球日报与NFT数据整合平台NFTGO合作的一档栏目,旨在向NFT爱好者与投资者展示近24小时的NFT市场整体规模、交易活跃度、子领域市占比,成交量、流动性指标、受巨鲸欢迎等维度下排前五的NFT项目.
1900/1/1 0:00:00特别感谢SteveNgok、UnicaYin、WendyDing的审阅和反馈。DAOrayaki是一个去中心化的研究者组织和去中心化媒体,通过DAO的形式去中心化地资助世界各地的研究者进行研究、翻译、分析等工作.
1900/1/1 0:00:00