
“波卡知识图谱”是我们针对波卡从零到一的入门级文章,我们尝试从波卡最基础的部分讲起,为大家提供全方位了解波卡的内容,当然这是一项巨大的工程,也充满了挑战,然而我们希望通过这样的努力让大家能够正确认知波卡,也让不了解波卡的人方便快速掌握波卡相关知识,今天是该栏目的第44期,在波卡稳步发展的当下,一同回顾其网络中的参数。
波卡网络的发展,相对于市场上大多数的公链来说,进度或许稍显缓慢,但是从另一方面来说,正是因为前期对Layer0的精心建设,众多Layer1的平行链才能有一个稳定的基础设施。
Tether:纽约将公司财务文件提供给CoinDesk,包括客户和银行对账单的详细信息:金色财经报道,Tether周四表示,纽约总检察长已向加密媒体CoinDesk提供了有关该公司业务的信息,这些信息是在2021年与纽约州达成和解的过程中收集的。2021年2月,NYAG与Tether达成协议,停止与纽约居民的活动,并支付1850万美元的罚款。调查发现,Tether有时缺乏银行服务,其稳定币并不总是以1:1的现金支持。不久之后,CoinDesk向NYAG提交了一份信息自由法请求,要求提供调查期间收集的文件。最初Tether反对这一要求,但今天表示已放弃反对。
据知情人士透露,这些文件包括许多当时是Tether客户的个人姓名。Tether在一篇博客文章中表示:“如果正确阅读和解释,公布的信息只能公开证明Tether业务的合法性及其储备的存在。”[2023/6/16 21:40:35]
目前波卡网络与Kusama网络正在稳步进行中,其中波卡的治理也发挥了很重要的作用,因此在波卡生态发展的初期阶段,我们可以回顾一下波卡网络中的相关参数。
消息人士:美国SEC正在调查FTX投资者尽职调查的详细信息:1月6日消息,据消息人士披露,美国证券交易委员会(SEC)正在调查有关FTX投资者尽职调查的详细信息。消息人士称,SEC正就尽职调查政策和程序询问FTX投资者,以及他们在选择投资FTX时是否遵循了这些政策和程序,暂无法确定有多少公司正在面临SEC的调查。此外,消息人士表示,SEC的调查可能意味着,投资于FTX的风投机构和投资基金可能面临监管审查。
到目前为止,SEC已对FTX的三名高管提起诉讼,指控他们在加密交易平台FTX上欺诈投资者。(路透社)[2023/1/6 10:24:58]
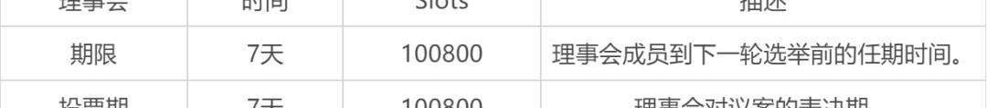
波卡参数
其中许多参数值可以通过链上治理进行更新。如果您需要绝对确定这些参数值,建议您通过查看链状态和/或storage来检查这些常量。
新加坡要求已注册的加密公司提供其详细信息:8月27日消息,新加坡金融管理局(MAS)正在要求获得许可的加密货币公司和一些申请人提供详细信息。新加坡Reed Smith LLP公司法律合伙人Hagen Rooke表示,鉴于最近困扰加密货币行业的各种破产和交易对手违约,MAS可能正在评估是否需要采取额外的监管措施来减轻导致这些不良情景的风险。
MAS发言人表示,被许可人和申请人应将任何严重阻碍或损害实体运营的事件通知MAS,包括任何可能影响其偿付能力或满足其要求的能力的事项,财务、法定、合同或其他义务。(The Block)[2022/8/27 12:52:51]
共同行动和属性的周期
注意:Polkadot通常以Kusama的1/4速度运行,但在Slot持续时间本身除外。有关Polkadot的参数与Kusama的参数有何不同,请参阅Kusama参数。
Revolut正与软银就新一轮融资进行“详细谈判”:总部位于英国的数字银行Revolut正在与软银就新一轮融资进行“详细谈判”,Revolut及其顾问已要求软银Vision Fund 2的投资者提交7.5亿美元至10亿美元的投资方案,预计“几周”后才能达成交易。Revolut最早于2017年开始提供加密货币交易服务。(CoinDesk)[2021/7/5 0:26:59]
Slot:6秒*
Epoch:4小时
Session:4小时
Era:24小时

美联储发布有关DLT试验FooWire的详细信息:金色财经报道,美联储官网昨日发布了一项支付试验的详细信息。根据文章,在2019年,联邦储备委员会的团队进行了名为“FooWire项目”的小规模试验。该试验涉及分布式账本(DLT)技术,团队使用了流行的DLT平台Hyperledger Fabric构建系统。FooWire被描述为“小型的”,专门针对许可的功能,即仅允许被选定参与者进行交易的系统。文章称,这种方法“反映了当今大多数支付系统所使用的内容,并且在某些配置下比无需许可的网络提供了更高的网络安全性”。最终,该小组发现“Fabric和类似的DLT平台具有潜在的支付用途”,但强调在这一领域还需要做更多的工作。文章称,美联储将继续研究这种技术的能力,并确定与使用这些技术有关的风险和弱点。[2020/8/15]
*每个Slot最多可以有一个块在规范的链中。有时,一个Slot会在链中没有块。因此,给出的时间是估计值。有关详细信息,请参阅共识。
账户、身份和Crowdloans
现有存款为1.000DOT
设置身份所需的存款为20.258DOT
参与所需Crowdloan的最低贡献是5.000DOT
治理


Polkadot理事会由最多13名成员和最多20名runners组成。

质押、验证和提名
提名人可以提名的最大验证者数量——16个

平行链


国库

目前燃烧百分比为1.00%。
精度
DOT有10位小数的精度。换句话说,10**10个普朗克组成一个DOT。
DOT的面额在区块#12483281从12位小数的精度改变,在一个被称为“面额日”的事件中,在那一天,DOT的数量以1:100的方式扩大了100倍。有关详细信息,请参阅新面额。
以上是波卡中的常见参数,不过这些参数并不是固定的,可以通过公投的方式对这些数值进行调整,以便适用于波卡的各个发展阶段,而这正是链上治理的魅力。
欢迎大家加入我们Polkadot生态研究院的电报:https://t.me/polkadot_eri
欢迎大家访问波卡生态研究院的Mirror地址:https://mirror.xyz/0x9A259b3a2316281Cc948cE2Cf1Ac610a79844f05
ChainlinkPriceFeeds在2019年发布,服务智能合约开发者不断增长的DeFi应用开发需求,为区块链网络接入安全、精准和实时的金融市场数据.
1900/1/1 0:00:00BitfinexHoney3.29BitfinexHoney让算法交易更容易为每个人从任何地方。使用BitfinexHoney,用户只需安装可下载版本,就可以改善他们的交易策略.
1900/1/1 0:00:00最新数据显示,截至8月1日,JustLendDAO借贷市场中存款APY最高的是BTT,达到18.56%,其次是WIN和JST,分别达到15.59%、14.32%。此外,NFT、SUN的存款APY也十分可观,均超过10%.
1900/1/1 0:00:006月1日,据区块链浏览器TRONSCAN数据,波场链上资产总价值为55,280,665,722美元,突破550亿美元.
1900/1/1 0:00:002022年黑客攻击在我们眼里已司空见惯——超过440次的NFTDiscord攻击、BoredApeYachtClubInstagram攻击以及Beeple的Twitter攻击等等.
1900/1/1 0:00:00Chainlink旨在为智能合约和Web2系统提供一系列丰富的去中心化服务,创造围绕加密事实运行的世界。Chainlink独特的预言机共识机制最初用于提供去中心化的数据,而目前正扩展至安全的链下计算和跨链互操作性.
1900/1/1 0:00:00