Step1.Buildtrace

标红部分为Publicinfo

Step2.ProverforTrace
协议参数选取:

1.AIR实例化

2.验证AIR和Trace的一致性
2.1校验基础参数

2.2校验assertion有效(boundarycs)

Stacks网络近几个月面临三重困境:严重漏洞、挖矿垄断、多次区块重组:5月19日消息,Blockworks Research在推特上表示,比特币Layer 2网络Stacks在过去的几个月里经历了几重障碍:1.STX“stacking”机制中存在一个严重漏洞;2.混乱的审查在Stacks挖矿过程中变得司空见惯;3.Stacks链区块重组更常见。[2023/5/19 15:13:32]
2.3校验Trace满足transitioncs

Transcript

3.Commitfortrace
域参数选取:

3.1Interpolate->LDE->evaluateoverLDE-domain

3.2Commitment

Argent将在StarkNet上推出2-FA验证、多签钱包等4种新产品和功能:金色财经报道,以太坊智能合约钱包Argent在StarkNet会议上宣布在StarkNet上推出4种新产品和功能,包括2-FA验证、Argent移动端支持StarkNet Wallet、允许用户以电子邮件创建Argent Web端钱包、为团队和DAO设置Argent多签钱包。[2023/2/7 11:51:41]
Tracescript

4.EvaluateCS
4.1获取线性组合系数

系数个数和约束的个数一致
在本例中,transitioncs2个;boundarycs3个
4.2为t-cs和b-cs构建evaluator
4.2.1t-cs

4.2.2b-cs

耶伦:类似UST的资产正在经历风险,我们需要Stablecoin监管:5月10日消息,在国会山的会议上,美国财政部长耶伦谈到加密市场中美元Stablecoin的监管,耶伦认为,美元 Stablecoin 监管的立法迫在眉睫,这个领域增长迅速,并随之带来巨大风险,众所周知,今天Terra UST经历了一轮下跌。[2022/5/11 3:05:08]
4.3Evaluatet/s-csoverce_domain
4.3.1定义evaluatortable

5CommitmenttoEvaluateCS
5.1建立constraintscompositionpolynomial

5.2commitmenttocompositionpoly
Example:
Compose_poly=a*x^3+b*x^2+c*x+d=(a*x^2+c)*x^+(b*x^2+d)
(a*x^2+c),(b*x^2+d)分别对应两个column

6.建立DEEPcomposition多项式
Thegeneralformal:f(x)=q(x)*t(x)
Quantstamp正在对时尚和音乐市场Zora进行审核:Quantstamp发推宣布正在对基于以太坊的时尚和音乐市场Zora进行审核。其在推特中介绍Zora正在增加限量版商品的流动性,并将控制权交还给创作者和社区。
Zora旨在让时尚品牌和音乐人能够以代币化的形式发行产品。各品牌可以基于不同产品需求产生收益,然后对商品代币化并出售,代币的价值会随着每次新购买而在算法上增加。这是一种新兴的代币销售模式。[2020/12/9 14:41:49]
Needcheckatrandomz
1.f(z)=q(z)*t(z)
2.f(x),q(x),t(x)indeedequalrespectivelyf(z),q(z),t(z)
3.calculateDeep_composition=(q(x)-q(z))/(x-z)
4.CheckLDTforq_q(x)
6.1selectzwhichoutofdomain(ood)
drawanout-of-domainpointz.DependingonthetypeofE,thepointisdrawneitherfromthebasefieldorfromanextensionfielddefinedbyE.
Thepurposeofsamplingfromtheextensionfieldhere(insteadofthebasefield)istoincreasesecurity.
6.2evaluatetraceandconstraintpolynomialsattheOODpointz
6.2.1trace_polyatz&z*g


摩根士丹利(MORGAN STANLEY):央行可能会用加密货币加强负利率:根据摩根士丹利(Morgan Stanley)的新发现,各国央行可以使用加密货币,使得大幅降息来减轻下一场金融危机的负面影响。[2018/5/15]
6.2.2compositionpolyatz

6.3建立Deepcompositonpolynomial
6.3.1产生随机数

6.3.2calquotientpoly

6.4evaluateDeepoverLDE

7.计算Deep的FRILayernum


8.确定query位置
从lde_domain中选取多个query的位置。

9.构建proof对象
9.1生成FRIproof


9.2querytracepolyatabovepositions
和上述类似

9.3queryconstraintpolyatabovepositions
和上述类似

9.4构建STARKPROOF

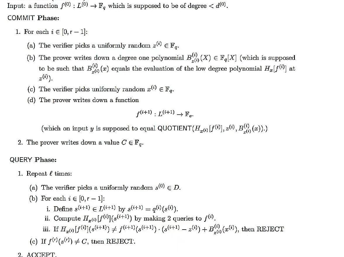
Step3.Verifyforproof
从transcript中读取pub-info,用来获取相关的数据,以执行验证过程。
1.Oodconsistencycheck
验证章节5.2描述的数学关系的一致性。

2.实例化FRI-verifier对象

3.计算Deeppolyonquerypositions
计算方式和章节6.4相同
4.执行FRIVERIFY过程


关于我们
Sin7y成立于2021年,由顶尖的区块链开发者组成。我们既是项目孵化器也是区块链技术研究团队,探索EVM、Layer2、跨链、隐私计算、自主支付解决方案等最重要和最前沿的技术。
微信公众号:Sin7Y
GitHub|Twitter|Telegram|Medium|Mirror|HackMD|HackerNoon
昆仑决&蝉FC世界格斗冠军赛迪拜站于6月25日晚落幕,这场比赛由全球领先的加密货币交易所CoinW币赢冠名赞助,汇聚了国际知名拳手,为格斗爱好者献上了一场令人血脉喷张的感官盛宴.
1900/1/1 0:00:00区块链浏览器TRONSCAN最新数据显示,截至8月6日,波场TRON账户总数达到106,127,624,正式突破1.06亿。波场TRON各项数据稳中前进,波场生态逐渐强大的同时,也将迎来更多交易量.
1900/1/1 0:00:00“波卡知识图谱”是我们针对波卡从零到一的入门级文章,我们尝试从波卡最基础的部分讲起,为大家提供全方位了解波卡的内容,当然这是一项巨大的工程,也充满了挑战,然而我们希望通过这样的努力让大家能够正确认知波卡.
1900/1/1 0:00:00ETF是指交易所交易基金,全称为交易型开放式指数证券投资基金。与一般基金产品不同,ETF的价格需追踪特定指数或资产价格并与其保持锚定关系.
1900/1/1 0:00:00前言 北京时间4月28日,Fantom平台DEUS协议又一次遭到攻击,损失约1340万美元,知道创宇区块链安全实验室第一时间跟踪本次事件并分析.
1900/1/1 0:00:00现今是2022年,元治理活动正迅速成为加密货币生态系统的主流;各个DAO也已经意识到,它们可以通过利用其他DAO的技术和资源,达到超强的增长和价值创造的最佳战略.
1900/1/1 0:00:00