苹果是世界上估值最高的公司,目前估值约为 2.83 万亿美元,我们都知道为什么它的估值如此之高--丰厚的现金流!所有公司都以利润/收入为核心动机,整个估值是根据收入潜力计算的。这是主流估值方法,但如何为社区估值,尤其是现在的DAO,仍然是一个值得探索的话题。因此,DAOrayaki将在这篇文章中,讨论一些可能的估值方法。?。
首先,让我们了解什么是社区?语境:

什么赋予了社区价值?
社区天然就是有价值的。它们汇集了成员的资源、技能、知识和经验,为成员和与他们互动的其他利益相关者创造价值。从众包建议到支持非营利事业,甚至在 COVID 浪潮期间筹集资金和拯救生命,社区历来被用来实现和推进各种目标。例如,在许多印度农村社会,以社区为基础的倡议(如合作社)是一种由来已久的工具,使数百万没有银行账户的人能够获得信贷和其他金融服务。
随着过去几年我们在互联网上花费的时间越来越多,我们创建并建立了更多的在线社区。比如,我们是 WhatsApp、Facebook、Discord、Reddit、Quora 等群组的成员。这些基于互联网的社区能够利用更多资源并更有效地运行,因为成员资格没有地理界限。来自不同背景的人可以带来不同的观点和技能,使他们的社区更有价值。这些社区的影响力和价值也能够影响到全世界更多的人。社区不再必须由长得像我们的人组成;它们可以围绕更多样化的因素形成,比如意识形态、爱好,甚至是任意的兴趣。
根据社区目标,实体社区通常可以为其成员创造和赋予财务价值。例如,当地的教师社区可以将资金集中起来创办一家允许成员分享利润的企业。他们可以这样做,因为当社区成员彼此靠近时,更容易建立管理财务资源所需的信任和协调水平。
对于成员往往是遍布全球的陌生人的在线社区而言,情况并非如此。建立信任和协调决策几乎是不可能的。例如,如果您是在线数字艺术爱好者团体的一员,并且您的团体决定超越讨论艺术来维护收藏,那么管理起来几乎是不可能的。因此,今天基于互联网的社区创造的财务价值最终被社区“领导者”或托管平台(例如 Reddit)所捕获。
Azuki创始人:Elementals会显现出区别于Azuki的独特品质:7月10日消息,Azuki创始人ZAGABOND.ETH再次发推谈及了Azuki原始系列与Elementals系列之间的区别。ZAGABOND.ETH表示,根据原始系列来开发Elementals的traits具有一定的挑战性,但在我们看来,在尊重原始设计的同时引入新的内容也很重要。乍一看,这两个系列可能看起来有些相似,但随着我们对Elementals系列的深入挖掘,我有充分的信心,它的独特品质将会显现而出。请记住,艺术只是token的外包装。[2023/7/10 10:45:33]
为了在财务上进行协调,成员需要:
法律基础设施
用于付款和收款的银行账户
一种以民主和公平的方式做出决策的可扩展方式
传统社区缺乏这一切?但Web3 解决了这个问题!它怎么解决??
社区——Web3 的心脏
在 Web3 中,从 DeFi 到 NFT 的一切都以社区为中心。社区成为项目的第一批采用者,通过代币激励社区成员做出贡献、推动分配并创造巨大价值,以换取收益。在 Web2 世界中,社区更像是一种参与功能,不同的公司嵌入社区,以便他们的用户坚持使用平台并最终帮助公司通过这种粘性获利。它们本身没有内在价值。为 web3 互联网创造价值的燃料是代币。
任何 Web3 项目在发布其第一个版本后,都会尝试着围绕它建立一个社区——社区成员就如早期用户。这就像在开源开发中一样,公司试图邀请社区参与,给予赏金、赠款和其他激励,在开放中发展,建立社区,并在决策上引入共识。Web3 项目遵循类似的策略。但在这里,他们更进一步——除了费用/赠款之外,还提供代币(股权),这改变了游戏规则!
为了让事情变得更酷,Web3 中的社区也有了自己的名字——DAO!将 DAO 视为“拥有共享银行账户的一群人”。它们是以共同使命为中心的数字原生社区。
DAO 是一种为项目融资、管理社区和分享价值的新方式。如果说区块链、NFT、智能合约、DeFi 协议和 DApp 是工具,那么 DAO 就是使用它们来创造新事物的群体。对于决定将资源集中到智能合约中,然后使用某种形式的决策机制(投票)来分配这些资源的人来说,这是一个普通的术语。
加密奇幻游戏应用TradingLeagues完成350万美元Pre-A轮融资:6月8日消息,加密奇幻游戏应用 TradingLeagues?完成 350 万美元 Pre-A 轮融资,Leo Capital、Jeejeebhoy 家族办公室以及由红杉印度和 Westbridge Capital 创始人 KP Balaraj 家族办公室旗下的 KPB 家族信托基金参投。[2023/6/8 21:23:09]
现在,在了解了社区和 DAO 的基本方面之后,让我们来看看核心问题——我们如何对其进行估值?
收入和现金流:DAO 估值的驱动力?(作为公司的 DAO)
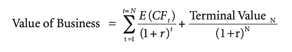
DAO 通常被称为去中心化组织或新型 LLC(有限责任公司)。它们也被认为是从企业层次结构到价值创造网络的过渡。对于传统公司而言,核心是在当前或不久的将来产生现金或收入,并以此为基础进行估值。
DCF 模型:
典型的公司使用 DCF(Discounted Cash Flow,贴现现金流)估值方法得到广泛估值——公司的内在价值来自其预期现金流。

DCF是一种复杂的估值模型!为简单起见,让我们了解是什么推动了传统公司对 DCF 模型的价值:
将产生哪些现金流量?
增长率是多少?
企业的风险有多大?
公司何时会成为稳定增长的公司——最终估值?

DAO的类型
例如,服务 DAO (Service DAO)将通过他们承担的各种类型的项目产生现金,社交 DAO (Social DAO)将从他们的粉丝购买代币或 NFT 中产生现金,协议 DAO (Protocol DAO)将通过借贷产生现金。
例如,Uniswap 是一个去中心化交易所 (DEX) DAO,它为人们交易加密货币提供便利。它收取的费用约为 0.3**%**(范围从 0.05% 到 1%),由流动性提供者和财政部分配。在这种情况下,现金流来自费用。Uniswap DAO 每天产生 10 亿美元的交易量和约 300 万美元的每日交易费用,或按此计算高达 10 亿美元的年度现金流!因此,我们可以通过对其历年估计的现金流量进行折现并使用合适的增长率和风险因素进行折现来计算其价值。
Ram Ahluwalia:DCG全年收入为7.19亿美元,2022有11亿美元的损失:金色财经报道,加密投资顾问公司Lumida Wealth首席执行官Ram Ahluwalia在社交媒体发文称,DCG今天分享了财务数据。这为Genesis 破产第11章计划和GBTC的折扣提供了新的线索。债权人批准联合计划符合DCG的强大利益。DCG在5月有约5.75亿美元到期,但截至2022年底只有2.62亿美元的现金,流动资金紧张。
DCG第四季度的收入为1.43亿美元,损失为2400万美元,全年的综合收入为7.19亿美元。DCG在2022年报告了11亿美元的损失,这反映了吸收 3AC 贷款减值造成的损失。DCG的全年收入为7.19亿美元,超过了Grayscale按当前价格从GBTC获得的收入。这表明DCG有额外的实质性收入来源,并且在 Grayscale 之外实现了多元化。
Grayscale在信托中拥有价值约150亿美元的比特币,按2%的管理费计算,这意味着有3亿美元的收入。(这不包括GETH和其他代币,也没有考虑到BTC的价格波动)。一个独立的评估机构对DCG的估值为22亿美元。这意味着市盈率约为3。这与Coinbase的市盈率相似。这个估值与Gemini Earn和其他Genesis债权人高度相关。[2023/3/1 12:36:08]
收入倍数(Revenue Multiple):
初创公司使用的另一种典型方法是收入倍数,它很简单:估值/收入
它衡量企业的权益相对于其产生的收入的价值。较高的收入倍数表明它具有很大的增长潜力,最终将产生巨额收入,因此在短期内被高估。
例如,早期创收初创公司的收入倍数为 20-40 倍,而 Uber 等公司的收入倍数为 4-5 倍。现在,让我们回到 Uniswap:
Uniswap 每天产生约 300 万美元的交易费用,由流动性提供者 (LP) 分配。因此,让我们假设这是 Uniswap 作为社区的每日收入,我们为社区或 DAO 获得约 10 亿美元的年收入。根据其目前的市值,其估值约为 100 亿美元,这使其收入倍数为 10 倍!但为什么只有 10 倍?造成这种情况的原因可能是 Uniswap 作为一种协议相当稳定,增长前景不是很高,分叉的风险无处不在。
Mycelium DeFi因喂价问题遭受了套利机器人的攻击:金色财经报道,根Mycelium团队声明,1月7日,该平台遭受了套利机器人的攻击。该机器人检测到平台上ETH价格的价差过高并开始大量滥用流动性。
差异应归因于Bitfinex API,它在澳大利亚东部标准时间凌晨 02:45 左右开始广播 ETH/USDT 对的高度波动的价格。与此同时,另一家价格供应商 Binance 因屏蔽了 Mycelium 使用的与美国相关的 IP 而下跌。 因此,系统无法通过独立的喂价重新平衡价格。Mycelium团队强调,由于Binance中断未得到广泛传播,Mycelium 仅使用了来自 Bitfinex 和 Coinbase 的数据。[2023/1/8 11:00:13]
GDP:DAO 的神奇指标?(作为国家形态的 DAO)
什么是国家——拥有宪法和经济体制的一群人?DAO 或任何 Web3 社区也是如此!让我们打个比方,让它听起来更有说服力:
一个国家依靠其人民创造“价值”或“GDP”——DAO 依靠其社区。
各国起草一部制定土地法律的宪法。对于 DAO,本章程被写入智能合约的规则中。
国家决定其结构,以及相关的治理和权力分配,就像 Web3 社区决定其治理和代币分配一样。
培育一种新兴文化,这种文化源于社区成员本身。
通过应用程序或代币创建边界。
发展充满活力的经济,无论是通过代币还是其他创收过程。
共享国库——中央储备
GDP是什么?
它是在特定时间段内在一国境内生产的所有成品和服务的总货币或市场价值。

现在,让我们尝试揭开所有这些组件的神秘面纱,并进行一些类比:
C → 消费者支出:在一个国家,每个公民都花费货币来购买他们的需求和奢侈品。在 Web3 社区中,人们通常花费他们的法币/代币来购买 NFT,在 DeFi 协议上进行交易,这些本质上可以形成消费部分。
JustLend正式上线USDD存款挖矿:据官方最新消息,JustLend已正式上线USDD存款挖矿。
JustLend是波场TRON网络首个官方借贷平台,用于建立基于波场TRON资产的供求变化,以算法计算得出利率的资金池。USDD(Decentralized USD)是波场联合储备与区块链主流机构发起的去中心化算法稳定币。USDD运行在波场网络上,并通过BTTC跨链协议接入以太坊与币安链,将接入更多区块链。USDD借助TRX实现与美元(USD)挂钩并保持其价格稳定,以确保用户能够使用一个稳定的、 去中心化的、保障金融自由的数字美元体系。[2022/5/12 3:11:23]
I → 投资:就像个人和公司在一个国家进行投资一样,社区成员也会对社区项目进行投资。
G → 政府支出:政府为国家福利花钱,就像 DAO 可以花钱升级社区功能、执行空投等一样。DAO 的国库余额可以作为另一个衡量指标。
X-M → (出口减去进口):就像一个国家的出口或进口一样,Service DAO 可能会出口他们的服务,Investment DAO 可能会进口服务,等等。我们可以看到在不久的将来,DAO 之间会发生很多交易。
作为衡量标准的产出——取决于 DAO 的类型:
衡量社区 GDP 的另一种方法是衡量社区的“产出”:
分布(DAO 的影响范围有多大)
机会(DAO 的成员有多少机会接触到机会)
资本(部署了多少资本)
根据 DAO 的类型,产出的值会有很大差异,例如:
1) 协议 DAO:此处的指标将特定于协议,例如:
DeFi -> 总价值锁定
L1/L2 区块链:独特的钱包、交易量
消费者应用程序:产生的收入
2) 服务 DAO:通过服务产生的总收入
3) 社交 DAO:收藏品金库、会员收入
4) 投资 DAO:投资回报率 (ROI)、AUM(管理资产)
5) 媒体 DAO:覆盖 DAO 的频道,如 Podcast、Newsletter 等
总体而言,机会、分布和资本之间的比例在很大程度上取决于 DAO 的类型。对于 Media DAO,分布(影响力)占比非常高,而对于Investment DAO,资本比例非常高。
L1 Metrics:可以推动社区估值的指标
除 GDP 外,就业、外国直接投资、国民总收入指数等各种其他指标也决定了一个国家的健康和财富。同样,让我们看一些有趣的社区指标来衡量社区的健康状况及其估值:
1. 贡献者等级:
人均 GDP(代表个人的收入方式)→ 平均/中值社区收入
幸福指数(代表公民的幸福程度)→ NPS(净推荐值)、社区效用满意度(CSAT)、社区的视觉感知和一致性
就业水平→活跃贡献者的百分比,保留水平
DAOrayaki注:这里的Retention Level 指的是员工保留。员工保留是是20世纪早期和中期的经济的发展概念。保留被定义为公司确保其员工不会辞职的过程。每个公司和行业都有不同的保留率,这表明在固定时期内留在组织的员工百分比。
2. 网络活动:
一个经济体的活动由GDP、制造业指数等指标决定。同样,我们可以衡量指标,例如交互对、平均响应数、每个对话的 TAT(周转时间)、话题起始者(每日、唯一)、

DAO 的护城河:估值的驱动力
随着市场上推出如此多的 DAO,以竞争优势的形式保持护城河将成为估值的最大驱动力之一。社区或 DAO 的转换成本非常低。一个特定的人可以是许多社区的一部分,这当然可以给数字灌水。此外,这些人可以轻松地在社区之间切换。虽然代币确实会造成一些摩擦,但同样有许多 DAO 和项目空投,它们可以很容易地夺走社区的用户群。

那么,社区可能的护城河是什么?让我们讨论一下:
网络经济:随着新用户加入网络,每个用户的服务价值都会增加。网络经济是 DAO 有潜力超越传统同行的地方。这可能是成功的 DAO 最坚固的护城河。网络经济的一个很好的例子是 Instagram,每当你的一个朋友加入时,它对你来说就变得更有价值,因为你可以和他们交谈,看看他们在做什么。DAO 建立在直接将创新协议与货币(代币)相结合的加密网络之上,增强了其网络效应。对于 DAO,用户就是所有者,每次其他人加入 DAO 和/或使用协议时,理论上用户的代币都会变得更有价值。此外,随着 DAO 变得更强大,更多的人在它之上构建,这使得它变得更强大,吸引更多的人,等等。例如,Solana 平台网络效应,正如Windows的金融效应。一旦 DAO 兴起,就很难逆转。
转换成本:客户预期的价值损失是因转向替代供应商进行额外采购而产生。这是一个棘手的问题。一方面,DAO 成员会产生转换成本,因为他们在一个 DAO 中拥有的代币如果转换到竞争 DAO 可能会变得不那么有价值,对分叉的恐惧无处不在。例如,SushiSwap 是从 UniSwap 分叉出来的,因为所有代码都对世界完全开放——这意味着 DAO 可以很容易地被精确复制。虽然这作为护城河的得分很低,但低转换成本是 DAO 的一部分:它创造了一种有趣的动态,在这种动态中,协议之间不断竞争以保持其利益相关者的快乐和良好的补偿。如果 DAO 做了一些成员不同意的事情,这些成员可能很快会流失。Moloch DAO 奖励赠款以推进以太坊生态系统,甚至内置了“愤怒退出”机制,如果成员不同意特定的社区决定,可以通过该机制愤怒退出并撤回其代币。
品牌:从有关卖方的历史信息中产生的客观相同产品的更高价值的持久归因。某些品牌能够为同一商品收取更高价格的部分原因是人们将自己的身份与这些品牌联系在一起。携带路易威登手袋与普通手袋不同。同样,人们会将他们的身份与他们所贡献的成员和他们拥有的 DAO 联系起来。如果您将 Solana 视为 DAO,请考虑所有身份与拥有 Solana 相关的人。他们愿意免费推销 Solana、买入并抨击非信仰者。
垄断资源:以有吸引力的条件优先获得可独立提升价值的令人垂涎的资产。DAO 的社区是其被垄断的资源。尽管许多 DAO 雇用或以其他方式补偿人们的贡献,但在许多情况下,人们为 DAO 做出贡献只是为了使其或构建它的区块链更有价值。Moloch DAO 从其成员自己汇集的 ETH 中提供赠款,以使 ETH 更有价值,并可以提交提案以做免费工作以使以太坊变得更好。这些工程师的时间是独立宝贵的。
作为产品的社区
就像产品根据其用户旅程具有一系列指标一样,我们可以根据贡献者在社区中的旅程观察一系列指标:

总之,通过向 DAO 的用户、贡献者和更广泛的利益相关者生态系统提供经济激励,并让这些利益相关者在 DAO 的治理中拥有发言权,DAO 有机会建立非常强大的护城河。最强的是网络效应——一旦 DAO 达到一定的增长速度,就很难将其拆除,特别是考虑到社区治理意味着它应该能够以社区认为将创造最长久的方式适应和发展长期价值。
也就是说,DAO 应该警惕使用这些护城河让自己变得太舒服。他们不应该榨取太多价值,向太少的利益相关者授予太多权力,行动太慢,或者做任何其他可能激怒足够多的社区成员的事情。如果DAO社区这样做,将会是给别人机会。分叉的威胁永远存在。这是适者生存。

并购:
在 2021 年底,我们看到了最大的 DAO 合并之一,Rari Capital(DeFi 协议)和 Fei 协议(算法稳定币)合并形成了一个 20 亿美元的流动性参与者,并整合到一个单一的治理代币——TRIBE,这是 Fei 的 治理代币。随着我们的前进,我们可以看到更多这样的并购发生,估值框架变得至关重要,DAO 的所有利益相关者都可以使用它来进行相应的评估和投票。“协同效应”的另一个因素,即各种社区/DAO 如何从合并后的实体中受益,将是一个有趣的考虑因素。
结论:高估还是低估?
一个好的估值总是包含一个故事,是故事和数字之间的桥梁。估值中的每个数字背后都有一个故事,每个关于公司的故事都必须附有一个数字。例如,Uber 作为一家城市汽车服务公司,最初的估值为 60 亿美元。然而,当定位为物流公司时,估值升至 530 亿美元。同样,Web3 社区的估值在很大程度上取决于社区的故事和愿景。
“估值不仅仅是一个数字,还有一个故事”——Ashwath Damodaran

2021 年以来,活跃于资本市场的元宇宙(Metaverse)概念成为社会关注的热点。除了我国大型互联网企业纷纷进入该领域之外,国际社交媒体公司脸书(Facebook)直接改名为元(Meta),让元宇宙愈发引人关注.
1900/1/1 0:00:00「下注赛道比下注赛手更重要」,这对红杉资本和其创始人 Don Valentine 投资风格的精辟总结.
1900/1/1 0:00:00说明:中本聪nft4月1日开始白名单可以开始点击购买 。白名单购买期是三天,三天之后,白名单作废。请大家注意一下。世界顶级区块链媒体coindesk已经宣发.
1900/1/1 0:00:00本文属于描述全球各国比特币挖矿业的系列文章之一,本文着眼于挪威的比特币挖矿现状,我来自挪威,对挪威的比特币挖矿业有第一手的了解。另外,我在 Arcane 公司工作, Arcane 在挪威有一个挖矿业务.
1900/1/1 0:00:002021年以来,围绕元宇宙的技术应用和产业投资日益成为社会关注的热点。微软、英伟达、脸书等国外科技企业已经开展布局元宇宙生态相关技术产品。元宇宙话题成为数字经济发展的新热点、数字政务应用的最前沿.
1900/1/1 0:00:00"邓巴项目"(Project Dunbar)是国际清算银行(BIS)创新中心与澳大利亚储备银行(RBA)、马来西亚中央银行(BNM)、新加坡金融管理局(MAS)和南非储备银行(SARB)共同合作探讨的项目.
1900/1/1 0:00:00