渐进式荷兰拍卖的工作原理是将一笔拍卖分解为一系列荷兰拍卖,以帮助欠缺流动性的资产完成公开销售。
本文介绍了渐进式荷兰拍卖(Gradual Dutch Auction,以下简称为 GDA),一种能够有效地帮助欠缺流动性的资产完成公开销售的拍卖机制。
GDA 与此前已经被提出的「时间加权平均做市商(TWAMM)」机制意在解决的问题类似,都是可以让资产在不依赖于市场已有流动性的基础上进行有效流通和销售。
GDA 的工作原理是将一笔拍卖分解为一系列荷兰拍卖(注:荷兰拍卖是一种常见的拍卖形式,会从高要价开始,然后逐渐降低,直到买家出价)。GDA 允许你便捷地方式同时参与多个这样的拍卖。
本文会提供更适用于 NFT 销售的非连续型 GDA 和更适用于代币拍卖的连续型 GDA 两种模型,以供读者理解这个新的拍卖机制。
链游公会Merit Circle向Web3游戏平台ParticleInk投资25万美元:2月28日消息,链游公会Merit Circle宣布与Web3游戏平台ParticleInk达成合作,并向Particle Ink投资25万美元,并在公司内担任顾问职位。Particle Ink通过将AR技术、人工智能与Web3技术相结合,旨在带来全新的游戏体验。Particle Ink中还包括游戏内NFT资产和支持游戏内交易的社区代币等。(ForesightNews)[2023/2/28 12:33:12]
非连续型 GDA
假设 Alice 想卖出 1 万件 NFT。她不确定这些 NFT 的公允价格,所以她不想以固定的价格出售。
相反,她可能会选择进行荷兰拍卖 —— 从一个很高的要价开始,然后逐渐降低价格,直到所有的 NFT 都被卖掉。不过这种方式并不一定是最优解,因为市场上的买家可能并不足以一次性消化所有的 NFT 作品。
加密风投机构Paradigm推出25亿美元新风险基金:11月15日消息,加密风投机构Paradigm宣布推出25亿美元的新风险基金,将与现有旗舰基金一同投资下一代加密货币公司和协议。
Paradigm表示,目前已经围绕研究、工程、安全、人才、营销、法律和政策等领域建立了一个专家团队,将在所投资公司的各个阶段予以支持。[2021/11/16 6:53:56]
相反,如果 Alice 一次拍卖一个 NFT。例如,她可能会每分钟都开始一场新的荷兰拍卖,拍卖她的一件新作品。这将给市场更多的时间来为她的 NFT 艺术品找到一个公允的价格。
非连续型 GDA 其实就是这一想法的延伸。
机制
非连续型 GDA 适用于销售 NFT,因为这些资产必须以整数数量出售。工作原理是为每一个 NFT 举办一个虚拟的荷兰拍卖。在一个非连续型 GDA 中,每个拍卖都在同一时间开始,每个虚拟的独立拍卖都有一个更高的起价。每次拍卖的价格由价格函数给出,该函数的参数包含该拍卖在系列拍卖中的排序,以及正常拍卖开始以来的时间等。
Starly.io完成超600万美元融资,Spartan Group领投:12月8日消息,NFT市场Starly.io宣布完成612.5万美元的融资,由Spartan Group领投,DapperLabs、AnimocaBrands、LDCapital、Axia8、DoublePeak、YoubiCapital、KuCoinLabs、Shima.capital、SkyVisionCapital以及包括MaratKichikov在内的知名天使投资人等参投。Starly.io旨在让所有人都能够轻松地使用工具,将他们的内容转变成可盈利的NFT。[2021/12/8 12:58:01]
经过测算得出的一个较优的函数如下:

游戏开发商GreenPark Sports将与Immutable X合作发布限量版高级装备NFT:11月3日消息,游戏开发商GreenPark Sports与NFT二层扩展解决方案Immutable X合作,将推出其首批限量版高级装备NFT。这些NFT收藏品包含超过78000个NFT,可在虚拟储物柜中购买。
GreenPark旗舰应用程序V2将于2022年推出,届时这些设备将解锁整个GreenPark元宇宙和IRL的状态、访问和权限。这些NFT将于11月15日在nft.greenparksports.com上发布,该网站由Kolex提供支持。除此之外,GreenPark NFT将是无Gas和碳中和的,因为其基于Immutable X二层平台创建。(Coinquora)[2021/11/3 21:21:47]
其中,每次拍卖的价格根据衰减常数 λ 呈指数衰减,每次拍卖的起价都增加了固定的比例因素 α,第一次拍卖的起价则由初始价格 k 决定。
现场 | Foundation X Parteer O Kwon:大公司更有机会做出强大的DAPP:金色财经现场报道,1月18日,Foundation X Parteer O Kwon在金色沙龙韩国站第二期的圆桌论坛上指出,比起一些在区块链领域创业的公司,可能现在没有进入区块链领域的大公司更有机会做出强大的DAPP。他解释说,DAPP是需要有用户基础的,但是小的创业公司没有用户基础,相反大公司的用户基础是非常强大的,所以只要引进区块链技术就可以了。同时,他表示,要出现一个“杀手级”的DAPP,需要有千万级别的用户,同时妈妈们和奶奶们都能使用。[2019/1/18]
批量拍卖的价格计算
根据上述价格函数,我们可以计算出批量拍卖的总价。
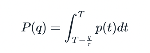
假定 Bob 想购买数量为 q 的待拍卖资产。为了做到这一点,他会购买在每一个独立荷兰拍卖中总量为 q 的最便宜的资产。而目前时间为拍卖开始后 T 时刻,迄今为止共计售出总量为 m,则 Bob 购买 q 数量资产的总价格 P 为:

把价格函数代入之后,我们可以得到最终的价格计算公式:

如果假定一些具体的数值之后,我们可以得到如下的一个结果案例:

连续型 GDA
在完成 NFT 销售之后,Alice 现在想卖掉一些标准代币。当然她也可以使用上述非连续型 GDA 机制,打包「分段」售出她手中的代币。
然而 Alice 可能不想让她所有的代币都能立即出售,例如她希望代币按照每天 360 枚的恒定速度释放。那么她就可以选择用一系列标准的荷兰拍卖中出售自己的代币,而不是使用一次 GDA 进行所有的销售。比如她可以每小时进行一次 15 代币拍卖,或者每分钟进行一次 0.25 代币拍卖等等。
连续型 GDA 的工作原理就是将这个过程限制到极限,即拍卖之间的时间间隔接近于 0。这意味着销售被分成无限的拍卖序列,每个拍卖出售无限小数量的代币。
持续的工作原理是以恒定的排放速率逐步提供更多可供出售的资产。整个拍卖流程会在一系列的虚拟拍卖中被分解。这些拍卖随着时间的推移,以均匀的速度开始,每次拍卖都以相同的价格开始。
每次拍卖的价格由某个价格函数给出,其中为自拍卖开始以来的时间。价格模型与非连续型 GDA 类似,价格根据衰减常数 λ 呈指数衰减,同时拍卖的起拍价为 k:

参与拍卖的价格计算
假如 Bob 想购买数量为 q 的代币,为了购入对应数量的代币,他需要参与 q/T 次拍卖,由于拍卖的价格是持续下降的,所以说他需要对当前所有可报价的独立虚拟拍卖中最早开始的那些进行报价。
假设目前最早开始的拍卖的持续时间为 T,那么数量 q 的代币的总价格 P 为:

在不考虑链上交互成本的前提下,代入价格计算公式后,完整的价格公式为:

代入一些假定的参数之后,可以得到如下的示例结果:

代码
Paradigm 还公开分享了 GDA 模型的 Python 模型以及 Solidity 的可实现方案。
结论
GDA 可以用于同质或非同质资产的公开销售,且对于缺乏基础流动性的资产来说更具价值,这一拍卖机制的使用场景并不限于文中提及的简单案例,未来有望在更多应用场景中落地。
撰文: Frankie、Dan Robinson、Dave White
编译:Amber
在白话之前的推文《肖风博士赞不绝口的Cosmos和波卡两大跨链技术项目》中提到了跨链技术,其中跨链技术的实现模式之一就是哈希锁定,今天大白就给大家详细讲解一下什么是哈希锁定.
1900/1/1 0:00:00原标题:科普 | 比特币等加密货币与股票的区别随着BTC超过34000美金,比特币市值超过巴菲特的伯克希尔哈撒韦,更多的人开始关注加密货币领域.
1900/1/1 0:00:00资产安全一直是区块链投资中最重要的问题,而钱包,则是用来存储资产,如果钱包出了问题,所有资产都将丢失,今天,我们来介绍钱包的种类.
1900/1/1 0:00:00最近比特币价格的快速攀升,让一些圈外的朋友也按捺不住好奇心,想进圈内来看看,毕竟股市局势不明朗,风景加密货币这边独好。这些天,有些朋友加大白为好友,想了解如何购买比特币.
1900/1/1 0:00:00在区块链领域,人们从未停止过对更优共识机制的探索。区块链为什么需要共识机制,说到这个问题,网络上广为流传的通俗解释是,想一想拜占庭将军问题:一组拜占庭将军分别各率领一支军队共同围困一座城市.
1900/1/1 0:00:002020年是比特币第三次减半,在关心币价行情的同时,不知道大家有没有想过,比特币最终可以减产多少次,可以无限次减产下去吗?先来说结论吧,按照目前比特币网络规则,在减产33次之后,将不能再减产.
1900/1/1 0:00:00