作者:DeFi研究员VincentLu
Pechtl的模型
1995年,Pechtl提出离散时间转换认购期权,如果在Δt内,资产价格超过了行权价X,则投资者可以在期权到期的时候获得这段时间的收益为AΔt,同理,在离散时间认沽期权中,在某个Δt内,资产价格低于了行权价X,则投资者可以在期权到期的时候获得这段时间的收益为也为AΔt。
Pechtl根据理论和BS模型,他计算出这种认购期权的定价可以用如下算式来表达:

中币(ZB)市场研究报告:如果机构需求升温 比特币或将持续上涨:据中币(ZB)市场研究报告显示,在11月份,基本面消息刺激了加密市场,带来了新一轮牛市,BTC, ETH, XRP等加密货币分别冲到历史高点。中币市场研究员表示,如果牛市于12月1日以熊市蜡烛收盘,那么意味着目前牛市已疲软;但如果机构需求持续升温,比特币价格将可能在12月第一周创下历史新高。此外,该报告还对ETH做出了日内技术分析。更多详情请查阅中币(ZB)官方发布的研究报告。[2020/12/1 22:43:04]
认沽期权的定价可以用如下算式来表达:

中币(ZB)市场研究报告:比特币目前进入盘整期:据中币(ZB)市场研究报告显示,比特币在经历了昨日的飙升后进入盘整期。目前比特币价格要保持的关键水平是12500美元左右,从而将之前的阻力变成支撑。报告认为,我们可能会在未来几天看到比特币的横盘,甚至是一个温和的回调,但按照目前的情况来看比特币似乎已经在目前的价格水平建立了一个新的基础,所以它近期可能会停留在这个水平,为下一个大的行情积蓄动力。更多详情请查阅中币(ZB)官方发布的研究报告。[2020/10/23]
其中S为现价,X为行权价,波动率为σ
在这两个算式中,n=T/Δt,如果期权合约已经生效了一段时间,则需要在期权定价公式中增加一项:ΔtA·exp(-rT)·m,其中m是已经满足时间转换条件的时间单位数量
动态 | 中证协公布优秀重点课题研究报告评选结果 两篇与区块链相关:中证协2019年组织开展了主题为“深化金融供给侧结构性改革,推动证券业实现高质量发展”的重点课题研究工作。本年度中证协重点课题研究共收到158项课题申报,立项88个课题,最终由专家评选出21篇优秀课题报告。优秀课题报告包括探索金融科技、监管科技在证券行业应用,深刻理解金融科技对金融生态的深远影响,推动金融科技在证券行业的融合应用发展研究,包括《区块链在场外衍生品市场组织中的应用研究》《区块链在数据生态建设的应用及价值研究》《场外交易中的零知识认证研究》《基于机器学习模型的财务报告欺诈风险识别方法研究》《证券业数字财富管理发展模式研究》《智能投顾在证券公司财富管理业务中的应用研究》《证券公司数字化财富管理的发展模式与路径研究》等。(中国证券业协会)[2019/12/20]
基于Pechtl模型的改动
研究报告:在印度,以太坊比比特币更受欢迎:互联网提供商Jana的研究报告显示,在印度,以太坊的搜索量占搜索总量的34.4%;比特币占29.9%,排在第二位。该统计数据似乎表明普通大众对这种以太坊更感兴趣,这一趋势在过去五个月一直如此,目前尚未放缓。[2018/4/4]
我们对Pechtl的理论做一点小改动,如果某投资者能在认购期权价格超过行权价格的时候就获得收益,并且收益的计算方式为*Δt,例如,Alice从Bob那里买了一个行权价格为110美元的认购期权,到期时间是1年。在这年里,价格在11月份突破了行权价,到达了120~130美元,而到了十二月份,价格下跌,跌破了90美元,虽然到期时间来临时,期权价格仍然低于110美元,但是Alice仍然可以在11月获得期权高于行权价的那部分收入。
考虑到在Pechtl模型中,收益为到期日后才获得,所以在估算价格中,会有折现因子exp(-rT),其中r为无风险利率。那如果当时就行权,在第i个周期内,获得概率的可能性应为:

我们的认购期权模型中,另一个改动是超过行权价,投资者获得的收益为??Δt,而不是像Pechtl模型中的固定常数A,在这种情况下,我们必须修订Pechtl的公式,应该用每个??并累加。在数学上就是积分的形式:
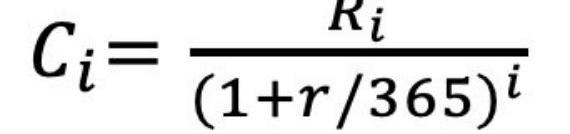
模型中的另外一个改动就是:购买认购期权的投资者是立即获得收益,而不是等到到期日之后才会获得,因此需要把每天的收益折现到当前。考虑到无风险利率是r,那么每天的收益即为r/365,第i天的现值应该为:

把所有的Ci累加,就得到了这种期权的定价方式:

Python模拟
我们用Python模拟了这种认购期权的定价方式:假设现价为100美元,无风险利率为6%,波动率为26%,我们研究这种认购期权价格C和到期天数n之间的关系。

这种情况很符合日常感觉,如果到期天数长,风险增加,价格超过行权价的可能性也增加了。因此认购期权就贵了,但是增长幅度变慢了,如果到期天数无限大,价格应该会收敛到一个定值。
永续时间转换期权的定价方式
在上式中令n趋近于无穷大,我们可以得到这种期权的定价模型为:

原文链接:https://medium.com/@Vincent.R.Jaipul/perpetual-timer-option-pricing-8bd9f4139e79
据BeinCrypto11月27日消息,约翰霍普金斯大学应用经济学教授SteveHanke近日发推批评了萨尔瓦多建设比特币城市的计划,称其是“一个妄想独裁者的荒谬噱头”.
1900/1/1 0:00:00据TheBlock消息,12月16日,Twitter联合创始人兼Block首席执行官JackDorsey公布了他与Jay-Z合作的比特币开发捐赠基金的4名董事会成员.
1900/1/1 0:00:00来源:财联社丨区块链日报 作者:刘蕊 不论是炒币还是NFT,韩国都始终跑在投资的“潮流前沿”,而最近大热的投资概念元宇宙上,韩国人同样冲在最前线——从韩国大热的元宇宙ETF就可见一斑.
1900/1/1 0:00:00市场上的加密货币数量从2014年的500种激增到7年后2021年10月的近7000种。据报道,14%的美国人——大约相当于2120万人——已经购买了某种形式的加密货币,全球估计有超过3亿加密货币所有者.
1900/1/1 0:00:00据TheKoreaHerald11月26日报道,韩国区块链研究公司AMAXG在纽约时代广场的广告牌上发布了一则广告,分享了其对元宇宙和NFT的愿景。广告上写着:“AMAXG集团全力支持韩国元宇宙的技术革新.
1900/1/1 0:00:00据CoinDesk12月17日消息,随着实施旅行规则的最后期限临近,日本的加密货币交易所表示,他们正在与监管机构谈判,以将规则的范围限制在主要代币上.
1900/1/1 0:00:00