原标题:《Bulletproofs技术调研报告》
作者:北京大学初泽良,本文仅代表作者观点
原文链接:https://mp.weixin.qq.com/s/q3YRoCQzC4NxZkwu4QQd5w
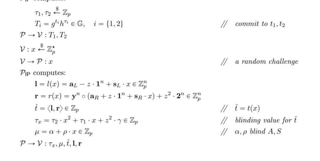
Bulletproofs是由斯坦福大学、伦敦大学学院、区块链协议公司Blockstream共同提出和维护的非交互式零知识证明,得到了美国国家科学基金会、美国国防高级研究计划局、美国海军研究局(ONR)以及西蒙斯基金会的支持。本文是对Bulletproofs的调研报告。



伊蒂哈德航空COO Mohammed Al Bulooki担任Quint董事会主席:5月7日消息,阿联酋第二大航空公司伊蒂哈德航空(Etihad Airways)首席运营官Mohammed Al Bulooki宣布加入Quint并担任董事会主席。该项目已于4月中旬完成预售,并将于近期推出超级质押平台、精品NFT市场以及Quint Shop等业务。
Quint致力于以创新方式连接现实世界和元宇宙。Quint的超级质押平台提供真实世界的奖励,例如独家限量版Hublot手表、机票、超级跑车体验和全球酒店机构网络的折扣等。未来,Quint还将为其超级投资者提供房地产项目的部分所有权。(Entrepreneur)[2022/5/7 2:57:15]


加密货币交易所 Bullish 累计交易量突破100亿美元:2月21日消息,加密货币交易所 Bullish 在推特宣布,历史交易量突破100亿美元,流动性池资产价值超30亿美元。[2022/2/21 10:06:33]





Crypto Bull NFT:NFT无法在OpenSea个人收藏页面查看系BUG导致,团队正在修复中:12月14日消息,NFT项目Crypto Bull在社交媒体上发文表示,目前其NFT因BUG导致无法在OpenSea个人账户页面正常显示,从以太坊浏览器中查看智能合约依然可以看到钱包中的NFT,目前Crypto Bull团队正在修复该问题。[2021/12/14 7:38:15]




国际黄金贸易公司AgaBullion将发行基于黄金的ERC20代币:国际黄金贸易公司AgaBullion与英国金融科技公司AurusTechnologies达成合作,将通过Aurus的区块链解决方案在土耳其销售基于黄金发行的ERC20代币AurusGOLD(AWG)。Aurus表示,AWG的最终目标是成为一种可靠、稳定的法定货币支付替代方案。(CoinTelegraph)[2021/6/8 23:21:54]




BitBull Capital合伙人:加密市场正在经历创纪录的低波动性:Coindesk发文称,加密货币基金BitBull Capital的合伙人Constantine Kogan表示,比特币一度达到了9300美元的水平,此后立即回落至9250美元区域,并继续在一个狭窄的价格区间内交易。对此,他认为,加密货币市场正在经历创纪录的低波动性。另一个观点认为,9000美元是交易员购买比特币的很好的价格点。伦敦经纪公司Koine的机构销售主管Rupert Douglas补充说,每当比特币市场价格跌破9000美元时,就会有买家介入。[2020/7/8]
























来源:经济观察网 胡群/文 9月26日,2021年世界互联网大会乌镇峰会在浙江乌镇开幕。今年大会的主题为“迈向数字文明新时代——携手构建网络空间命运共同体”.
1900/1/1 0:00:00据经济日报报道,中国通信工业协会区块链专委会轮值主席于佳宁表示,随着数字经济的发展,未来数据将成为企业最重要的资产之一.
1900/1/1 0:00:00据官方消息,CyberHunter盲盒已于9月16日中午12点独家首发在Element平台上,随后CyberHunter官方发起游戏事件和Token发行提案:1.是否在9月24日开启“争夺Loot兽”游戏事件;2.游戏内代币名称表决.
1900/1/1 0:00:00链集市?·让区块链落地更简单 《区块链行业观察》专栏·第47?篇作者丨Ml?NewsNetwork 图片丨来源于网络 区块链技术已经在很大程度上改变了航运业,许多航运公司利用区块链技术使信息在不同业务之间能够更顺畅的传递.
1900/1/1 0:00:00巴比特讯,9月4日,安全研究人员MuditGupta质疑DAOMaker官方回应被攻击的内容,MuditGupta表示,DaoMaker声称他们接受了3家公司的审计,但其查看审计发现,2个审计是似乎是针对不相关的合约.
1900/1/1 0:00:00据CoinDesk9月14日,BlockFi首席执行官ZacPrince认为,不管有多少州政府指责,加密贷款行业将生存下来。据悉,BlockFi的计息加密账户已在美国至少五个州受到审查.
1900/1/1 0:00:00