1.背景介绍
自2018年以来,Vitalik一直主张二次方融资作为一种在去中心化的、自组织的生态系统中生成最优公共产品供应的方法。QF面临的最具挑战性的问题之一是共谋。例如,一个参与者或一组协调的参与者可能控制多个地址或共谋“游戏系统”,并在QF中提取不合理的补贴。
自2019年以来,GitcoinGrants已经运行了多轮的QF。GitcoinGrants使用了一种创新的方法:双界协调补贴。然而,Zoudavid认为Buterin中的不协调系数的说明不是很直观,也不太令人信服。此外,Buterin中的可调整参数主要用于约束任何一对投资者的可提取价值,但在调整他们之间的共谋方面做得不够。在《关于改善配对协调补贴的提议》一文中,Zoudavid提出了一种新的方法来改进具有丰富经济意义的配对协调补贴。
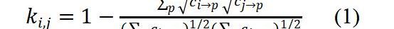
2.不协调系数的一种新规范
采用Buterin(2019)的符号,Zoudavid提出了一种新的不协调系数的规范:

其中

是向量i和j的不协调系数,

以及

研究:加密市场市值增长10%会使非洲小型公司市值降低0.76%:金色财经报道,开罗美国大学(American University in Cairo)两位助理教授Mina Sami和Wael Abdallah进行的一项研究表明,加密货币市值每增长10%,“非洲微型实体”的市值就会下降0.76%。
研究结果还表明,竞争较弱行业的公司“更有可能受到加密货币市场扩张的伤害”。例如,这两位作者在报告中总结说,加密货币市场“对非洲的能源、金融、工业和消费服务部门有相当大的影响。”
作者表示,相比之下,房地产和信息技术行业受加密市场增长的影响较小。同时,作者声称他们的研究强调了拥有“内部战略和公司经验”的重要性。这些特性对于必须与加密货币竞争的非洲公司来说至关重要。(news.bitcoin)[2022/4/2 14:00:42]
表示投资者i和j对项目p的投资,

是所有项目的总和。不协调系数衡量的是衡量的是一对投资者在作出投资决策时的独立性。有两种视角来理解等式的经济含义。
一种视角是,考虑两个向量

以及

,其中p表示项目的总数。
令

中国电子技术标准化研究院发布三项区块链标准化成果:10月30日,在“标准引领,产业赋能”区块链标准峰会上,中国电子技术标准化研究院发布了最新区块链标准化成果,分别是《区块链 版权存证应用指南》、《区块链 企业级平台运维指南》和《区块链 供应链金融服务应用指南》。(成都商报)[2020/10/31 11:16:48]
表示向量的模:

令

表示两个向量的内积,

令

表示两个向量之间的角度,则有,

在0和

声音 | 国家金融与发展实验室特聘研究员:要加强区块链技术应用的顶层规划和制度安排:据证券日报报道,国家金融与发展实验室特聘研究员董希淼对《证券日报》记者表示,目前区块链技术在公共服务、社会治理以及供应链管理等多个方面已发挥作用。由于区块链技术具有开放透明、难以篡改、开放互联、易于追溯、算法信任等优势,在数字金融、公共服务以及社会治理等都有广阔的应用前景。从应用方向看,区块链技术应发挥其在教育、就业、养老、精准脱贫、医疗健康、商品防伪、食品安全、公益、社会救助等领域的积极作用,赋能实体经济,惠及民生领域;从应用形式看,联盟链或将成为未来区块链应用的主要形式,应逐步解决链上链下数据协同等问题,重点加强对联盟链的研究和开发。同时,要加强区块链技术应用的顶层规划和制度安排,加速底层平台、业务应用等相关标准体系建设,以此更好地参与国际竞争,杜绝借机神化、炒作区块链。[2020/2/10]
使得对于每一个p,有

)。用Zoudavid的方法,他们将不会得到任何补贴。但用目前的方法,他们可以获得大量的补贴,只是被可调整的参数所缩减。
用Buterin中描述的景象举例。假设k个经过协调的代理人都向一个项目贡献了一笔很大数额的资金w。由于他们是完美协调的,用Zoudavid的方法他们可以提取的资金是0。然而,用现存的方法他们可以提取的资金是

,其中M是可调整的参数。
Vitalik建议了这样一种情况:假设有两个赠款者A和B和三个项目A,B和C,其中有相同字母的捐赠者和项目对是相互串通的。现在假设A捐赠了X?0X,以及B捐赠了0XX。
在这个例子中,

动态 | 研究人员创建机器算法可有效防止加密投机:据BTCmanager消息,《麻省理工学院技术评论》近日发布的一篇报道称,来自伦敦帝国理工学院的安全研究人员Jiahua Xu和Benjamin Livshits已创建一种机器学习算法,可以提前发现加密货币投机活动(拉高卖出),并能帮助防止和阻止其进一步发展。[2018/12/7]
。如果使用过去几轮二次方融资的数据,

可能会有不同的估计,而且可能会更准确。
不协调系数调整后的补贴是

,这正好是当前方法的一半水平。在把上界纳入考虑之后,总的补贴是B*X/B+X用当前方法,总的补贴是

。从上面的例子中可以清楚地看到,在当前的方法中,没有对不协调的调整,只有对边界的调整。
6.针对该方法的多方观点
优势
Vbuterin认为该提议是非常有趣的洞见,其有趣之处在于用点积来直接估计多个协调者之间的不相关关系。
存在的不足
一方面,Vbuterin认为,本质上来说,任何一个代理人A总是可以通过简单地创建一个项目并对他自己和代理人B进行一笔大金额的捐赠来提高他和B的不协调系数。如果每一个A都创建一个项目

火币研究院院长袁煜明:区块链商业模式打败股份制还有很长的路要走:金色财经现场报道,在4月3日举办的2018年世界区块链峰会现场,火币研究院院长袁煜明在接受采访时表示,目前行业还没有一个很好的公链,总体而言基础设施还不成熟。此外,当前用户规模还不够多,在此背景下很难有大规模的应用,很多应用也不太可能很好的推开去,区块链商业模式打败股份制还有很长的路要走。[2018/4/3]
,那么其点积就不会受到任何影响。因为不会有其他的人向

捐赠,但这会增加他们的

价值到无限大,使得分式为0并且对于所有的j
来说

Vbuterin提出了约束的相关系数,其属性是,两个参与者向同一个项目捐赠会增加他们的相关分数,但两个参与者向不同的项目捐赠不会减少他们的相关分数。他认为如果Zoudavid想有一个系统,其中两个参与者捐赠给不同的项目将减少他们的相关分数,那么需要以某种方式击败发送至自身的攻击。
而Zoudavid有针对性地提出,发送至自身的攻击并不会带来很大的问题。并给出了三点理由。
首先,自发送攻击代价高昂,因为攻击者需要在他的“假”项目中锁定大量资金。而与此同时,其回报将是有限的。假设攻击者创建了一个只有他投资而没有其他投资者投资的项目。的确,通过增加对这个项目的投资,他可以增加对他和其他投资者之间相关性的估计。然而,他可以从他的“假”项目中提取的补贴仍然是0。对于其他项目,由于攻击而增加的补贴应该是非常有限的,而且这种增加不能被攻击者独享。
其次,在计算不协调系数时,可以简单地排除任何只有一个投资者的项目。例如可以认为这些项目融资失败,没有资格获得QF补贴。在法币众筹中,通常有一个门槛机制:任何一个项目在一定时间内无法获得足够的支持或资金承诺将被认为是失败的,之后任何资金承诺将被返还。Zoudavid认为QF可以纳入类似的机制。
最后,可以利用前几轮QF的数据来估计不协调系数,使其估计受单个数据点的影响更小。
另一方面,PeterWatts察觉到协调惩罚似乎依赖于一个假设:诚实的用户会将资金分散到多个项目中,完美地反映出他们的偏好。而实际上,他怀疑许多用户会因为方便或强烈的偏好而只投资一小部分。因此,真正的公共产品将会有很多高度相关的资助者,而得不到足够的补贴。
进一步探讨
Vbuterin提出了一个方法,就是将重点再移开一步,不关注项目本身,而是关注向同一项目捐赠的一对捐赠者,并提出用3条规则来判断:
1.如果代理人i和j都向项目p捐赠那么他们是更加相关的;
2.如果代理人i和j都向项目p和q捐赠,而存在某个代理人k也是都捐赠了p和q,那么i和j是更加相关的;
3.如果代理人i和j都向项目p和q捐赠,而存在某个代理人k只捐赠了p或者q中的一个,那么i和j的相关性变弱。
规则将在所有代理中进行汇总,因此,捐赠给你自己的项目比捐赠给其他100人也捐赠的项目所带来的不相关要少得多。
Vbuterin提出用更复杂的矩阵乘法的使用来描述这个问题。如果M是一个矩阵,将个人贡献的平方值映射到项目上,那么

会给出个人之间的原始相关性,然后可以做一些其他的事情来计算出高阶测量,但是这个方法需要进一步考虑。
针对Vbuterin“高阶相关测度”的建议,Zoudavid做了一些初步的研究。基本上,除了不同投资者之间的相关性,还应该考虑不同项目之间的相关性。就像协调的投资者倾向于做出相似的投资决策一样,相关的项目也倾向于吸引相似的投资者群体。在利用投资数据估计投资者之间的相关性时,应该意识到项目之间的相互依赖性。对于此,Zoudavid提出奇异值分解是研究这一问题的合适工具。然而,该解决方案可能过于复杂,难以与投资者社区沟通。此外,解决方案可能容易过拟合。
PeterWatts认为当试图减少欺诈时,最重要的是不要失去CLR的核心租户。在完全基于协调惩罚的局部最大值确定之前,可能还有更多的机制可以探索,要么补充协调惩罚,要么取代它们。衡量成功的标准不应仅仅是减少欺诈的程度,还应是资金分配到真正的公共产品的程度。针对这个问题,他提出了几个想法:
1.负的偏好
对于每个用户来说,项目实际上可以分为三类:
A)我愿意资助的项目
B)我没有资助的项目,但不介意他们是否得到补贴
C)我不想要补贴的项目
目前,还没有办法区分B和C。也许UI可以允许用户对某些项目投反对票,这些信息会影响补贴。其反对票只会影响没有资助的项目之间的补贴分配。因此,否决所有其他项目就相当于否决零。而这源于这样一个现实,即用户不会为每一个能让他们受益的项目提供资金。公共产品的本质是,它们中的许多人都喜欢给予小的、间接的好处,因此更容易识别那些明显是欺诈性的或不可能以任何方式使之受益的项目。
2.给一些独特贡献者更高的权重
大多数攻击通过贡献大量的资源来利用执行超额影响的能力。这是因为在一个抗女巫攻击的系统中,它比捐助者更容易积累资金。因此,降低“假”项目有效性的一个简单方法是,为有更多贡献者的项目提供更高的补贴。这限制了强烈偏好的影响,但值得权衡。
一个极端是,有CLR,它允许强烈的偏好,但很容易被共谋。另一个极端是,可以根据一个项目收到的独特贡献者的数量来划分补贴。PeterWatts的想法是用一个系数来选择这个光谱上的最佳点。
7.结论
为解决在去中心化自治组织中最优公共产品供应的方法中存在的共谋问题,在Buterin提出了配对协调补贴的基础上,Zoudavid提出了一种新的方法对这一具有丰富经济意义的配对协调补贴进行了调整和改进,他提出了一种新的不协调系数的规范,并对配对边界进行了调整,使得估计结果更加稳健。其与当前现有的方法相比,在对不协调进行调整之外,还对边界进行了调整,使得补贴更为严格。该方法用点积来直接估计多个协调者之间的不相关关系,是一个突出亮点,但也同时存在潜在的应对发送至自身的供给的问题,以及真正的利益相关者得不到足够补贴的问题。针对这一方法,还有很多值得探讨和进一步深入挖掘的方向,包括“高阶相关测度”和惩罚协调的机制等。
参考文献
Buterin,Vitalik,Zo?Hitzig,andE.GlenWeyl,2018,“LiberalRadicalism:AFlexibleDesignforPhilanthropicMatchingFunds”.URL:https://papers.ssrn.com/sol3/papers.cfm?abstract_id=32436561
Buterin,Vitalik,2019b,“PairwiseCoordinationSubsidies:ANewQuadraticFundingDesign”.URL:Pairwisecoordinationsubsidies:anewquadraticfundingdesign
DAOrayakiDAO研究奖金池:
资助地址:0xCd7da526f5C943126fa9E6f63b7774fA89E88d71
投票进展:DAOCommittee3/7通过
赏金总量:150USDC
研究种类:DAO,?PairwiseCoordinationSubsidies
原文作者:?Zoudavid?
讨论者:Vitalik、Vbuterin、PeterWatts
贡献者:Demo,DAOctor@DAOrayaki
原文:AProposaltoImprovePairwiseCoordinationSubsidies
NFT的热度已经炸了。 23日,Visa宣布以15万美元购入一枚CryptoPunk,由此引发抢购热潮,23日CryptoPunks成交额27821ETH,约合9222万美元。单日成交量和成交额均达到历史新高.
1900/1/1 0:00:00巴比特讯,CharlesSchwab首席投资策略师LizAnnSonders上周在雅虎财经网络研讨会上分享了她对加密货币以及美国金融和银行系统的看法.
1900/1/1 0:00:008月28日,由杭州暗星电子科技有限公司主办的“星世界芯未来Scrypt加密芯片发布会”在杭州洲际酒店开幕。大会探讨了区块链技术在落地应用上的创新发展.
1900/1/1 0:00:00巴比特讯,8月12日晚间,PolyNetwork发推称,“不可否认,我们正在经历一段艰难的时期,但我们还是要提醒所有PolyNetwork的用户和项目,我们现在的首要目标是完全恢复用户资产。团队一直在为实现这一目标而努力.
1900/1/1 0:00:00撰文:Loopify编译:PerryWang这是Loopify在2021年2月对匿名的加密艺术收藏大咖「Mr.703」所做的采访.
1900/1/1 0:00:00巴比特讯,8月20日,由Uniswap社区昨日建议筹集1500万美元资金并将收益分配给社区成员和加密资产研究和评级公司Flipside的提案已被取消.
1900/1/1 0:00:00