原文:Jake_xbt
编译:Crush
什么是MEV?
我经常被问到MEV是什么,以及抢先交易和尾随交易是如何工作的,那么我就以我自己的机器人工作机制为例,在这篇长文中做一个解释。
链上流动性是碎片化的,虽然类似Uniswap这样的流动性池子很多,但是它们之间没有相互通信,每个池子都提供实时交换资产的报价,而正是这种分散的流动性,创造了在不同池子中低买高卖的机会。
举例:一个用户在Uniswap的WETH-USDC池子卖出了500万美元的WETH,当他卖出的时候,Uniswap上的WETH价格下降,那么它就会允许其他用户以相较于Sushiswap上更便宜的价格购买WETH。
因此,精明的用户就可以在Uniswap上购买WETH,然后在Sushiswap上面出售。
链上套利有什么不同?
分布式稳定币项目HOPE登陆以太坊主网:4月19日消息,分布式稳定币项目HOPE宣布推出面向所有用户的多协议应用。用户现在可以体验HopeSwap、HOPE质押和DAO治理等协议与功能。用户可以在HopeSwap中对HOPE与LT等加密资产进行兑换,还可以提供流动性获得手续费分成,并通过流动性挖矿获取$LT奖励。HOPE持有者还可以通过单币质押的方式获得LT奖励,而无需担心无常损失。
LT持有者则可以锁定LT来获取veLT。veLT持有者可以获得LT奖励加成与治理投票权。LT奖励将在4月20日08:00(UTC+8)之后开始释放。[2023/4/19 14:14:12]
上面举例说的是传统套利的原理,链上defi还多了一点不同的东西:原子性。
我们都知道,区块链的状态逐块更新,这意味着一个交易里面可以执行多个操作,前提是这个交易的最终状态是正确的,即这个交易最终要是成功的。
例如,我可以从Aave借贷池免费借到500万美元的USDC,前提是我在交易结束时将500万美元的USDC准确归还给借贷池,这就是传说中的「闪电贷」,相信你在很多项目被盗的新闻中经常听到。
马斯克收购Twitter已使62%的狗狗币持有者获利:金色财经报道,根据CoinGecko数据显示,过去7天狗狗币 (DOGE) 的价格在撰写本文时飙升了98.5%至0.119美元。区块链智能平台Into TheBlock称,马斯克收购Twitter已使62%的狗狗币投资者获利,外界猜测马斯克在Twitter上的购买将对DOGE产生积极影响,这一比例高于比特币持有者(54%)和以太坊持有者(57%)的获利比例。(Cointelgraph)[2022/10/31 12:00:01]
闪电贷为那些没有大量资金的用户免费创造了大规模链上套利的机会。当然了,这种钱并不容易赚。以上套利思路的出现,就带来了「套利空间的竞争」。
而大多数原子套利的空间都由少数地址主导,这些地址获得了大部分的利润,所以这大概率是所有领域中竞争最激烈的一块儿。套利的成功,是套利者的智慧、网络的低延迟以及良好的基础设施的结合。
机器人是如何工作的?
以太坊基金会公布“学术资助计划” 39名获奖者名单:8月26日消息,以太坊基金会博客公布了一项“学术资助计划”的获奖名单,来自7个不同研究领域的39名获奖者,总共获得了200万多美元的资金奖励。该项学术资助计划旨在激励研究人员、博士以及所有对以太生态系统进步感兴趣的人提交学术提案。
以太坊基金会表示,由于接受到了大量优质提案,预算是从最初的75万美元增加到了200多万美元。[2022/8/26 12:49:39]
机器人会直接连接到内存池,内存池是一个队列,里面存储着一组等待被确认的交易。机器人会埋伏在池子里面,等待可以创造套利机会的交易出现。
一旦发现可套利的交易,机器人会自动计算套利的最佳方式,然后将一系列操作,放到一个交易里面,直接将这个交易提交到内存池中,和可套利的那个交易放在同一个区块中进行打包。
我的机器人会在类似Uniswap这样的交易所中寻找的套利机会,它可以在目标交易出现后执行,最后以利用不同池子之间流动性的差异,来获取利润。
链游Crypto Kitties在韩国被视为“非法和有害网站”:6月21日消息,据CoinDesk Korea报道,区块链游Crypto Kitties在韩国已被视为“非法和有害网站”而被禁止访问。这是因为Crypto Kitties在韩国未被归类为游戏产品。韩国游戏委员会负责人表示:“去年在三星集团的钱包中可以连接到Crypto Kitties网站,因为Crypto Kitties是未完成归类的游戏,所以通过市政公告要求三星钱包删除该网站,三星钱包也对该网站也采取了切断措施。”
目前,韩国移动运营商LGU+目前仍可以链接到该网络,游戏委员会负责人解释称:“已经向网络运营商LGU+提出了要求,断网可能需要一定时间。”[2022/6/21 4:42:24]
为了搞明白什么样的交易算是可套利的机会,你必须先要了解UniswapV2的工作原理。
UniswapV2的工作原理
假设一个池子里面包含X个WETH和Y个USDC,并且它允许用户在池子中进行WETH和USDC的交易。那么池子的管理原则是:保证这个X和Y的乘积始终是一个常数我们称之为「Uniswap不变量」。
Qonto和Coinhouse合作向企业开放加密货币:金色财经报道,欧洲商业金融解决方案Qonto和欧洲加密银行Coinhouse今天宣布建立合作伙伴关系,以使中小企业和自由职业者能够投资加密资产。Qonto与Coinhouse合作,向其客户开放加密世界,朝着成为客户的一体化商业金融解决方案又迈进了一步。另一方面,Coinhouse正在进一步加强其在企业方面的影响力,这已经占其业务活动的三分之一。(finextra)[2022/6/15 4:29:07]
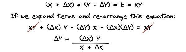
因此,对于一个储备为(X,Y)的池子,我们可以通过求解以下等式计算出我们期望将ΔXWETH卖出多少USDC到矿池中:

实际操作中,池子还会收取大概30bps的手续费,在计算上面的公式时,你可以通过将ΔXWETH乘以0.997来保证计算结果的准确性。为了解释起来方便,我们这里简化一下,省略这个步骤。

重要的是,我们可以重新拓展和排列这个方程,然后根据WETH输入的ΔX,得到一个UDDC输出的ΔY的表达式:

不错,现在在任何一个UniswapV2池子中给你一个输入量,相信你都能确切地计算出预期输出量了。
套利机会是如何运作的?
套利一般可以简化为「低买高卖」,在这种情况下,我们需要找到一个A池去购买WETH,A池的WETH价格比B池的便宜,然后我们将WETH在B池中出售,即在A池中低买,在B池中高卖。
假设A池有储备金(X,Y),B池有储备金(X?,?),那么如果我们在A池中卖出ΔX个WETH,收到ΔY个USDC,那么我们可以计算这些USDC在B池中能后换到多少个WETH,如果有得赚,那么一个套利机会就形成了。
所以让我们计算一下,在第一次交易中,我们将X换成Y,第二次交易中,我们又将?换成X?,根据前面的方程,计算如下:

这里的ε表示输入的ΔX与执行两次交易之后的输出之间的差异。如果我们能找到将ε>0最大化的方法,我们就找到了有利可图的套利。
所以我们可以用下面这个表达式来简化我们上面的方程:

套利机器人的其中一项工作就是使得利润最大化,在我们的方程中,这相当于最大化ε。只有当A>B时,方程才会有一个唯一的最优解,一旦A<B,那就不存在套利机会了。
机器人如何从机会中获利?
一旦我们弄清楚了如何执行交易以获得最大利润的话,剩下的事儿就简单了,我们需要让机器人获得初始资金来进行套利,放到上面的公式里,就是获得ΔX。
初始资金可以从AAVE中操作闪电贷中获取。机器人需要将借贷、交易以及还贷三个操作,捆绑在一个交易里面。这个过程,我们可以通过使用预先部署在链上的自定义智能合约来完成。
一旦我们的交易被创建,同时签名成功,它就会被提交到内存池等待矿工挖矿,即等待交易成功。但是由于还有其它很多的机器人同样也在寻找套利的机会,我们需要保证我们的交易被首先通过。
这意味着我们的套利交易应该跟随目标交易,被打包在同一个区块中,然后立刻完成交易。
这就是所谓的尾随交易,这种情况下,开采区块中的交易顺序如下所示:

为了实现尾随交易,机器人必须要先知道目标交易所提供的gas费是多少,然后将这些参数准确的复制到我们的套利交易中。最后,套利交易由机器人进行签名,并提交到内存池中进行验证,利润到手!
原文链接:
https://twitter.com/jake_xbt/status/1581612329086554112
标签:ETHWETHWETSWAPethyleneterephthalateweth币价格Wettok MarketPawswap
风险投资正在向新的智能合约平台投入巨资https://twitter.com/TheDeFinvestor/status/1578784242204483584L1轮换是2021年最有力的叙事.
1900/1/1 0:00:00根据贝莱德(BLK.US)周四提交的一份文件,该资管巨头计划推出第二只加密货币ETF(iSharesFutureMetaverseTechandCommunicationsETF),将追踪元宇宙公司.
1900/1/1 0:00:00比特币诞生至今14年,在加密行业的叙事、赛道和项目均呈现出繁荣景象之际,尽管去中心化和隐私保护早已成为币圈人的精神信仰,不过一个难以回避、甚至让不少人耿耿于怀的问题仍然摆在眼前——加密行业缺少属于自己的原生社交媒体.
1900/1/1 0:00:00这是白话区块链的第1771期原创?作者|五火球教主出品|白话区块链点击阅读:热度比肩以太坊的Cosmos生态现在发展得怎么样了?我们说了Cosmos当前公链的Defi的三板斧,这篇来说说桥,NFT,衍生品,一些好玩的东西.
1900/1/1 0:00:00文章来源:wagame.eth 编译:DeFi之道 zksync2.0主网将在3周内到来,以下是一些最佳的Alpha机会:关于zkSync2.0最重要的信息 钱包 入金和桥接 dApps OGNFTs 首先.
1900/1/1 0:00:00随着NFT市场的发展,很多大型项目去年的交易量达到了数十亿美元,还有一些项目影响力不断上升。他们当中的一部分已经吸引了Web3和传统公司的大量关注.
1900/1/1 0:00:00