本文将探讨如何更合理地评估NFT的稀有度。稀有度得分是一种辅助手段,不同NFT项目方会给出关于某种属性的更重要的公告,也会受到了个人主观审美的影响。
什么是NFT的稀有度?
一般来说,NFT的稀有度包含两个概念:特征稀有度与资产稀有度。
特征稀有度:衡量每个特征的出现频率,即拥有该特征在此集合中的占比。例如,特征"Background_Blue"的稀有度得分是10.44%,因为ShortBearClub总数是5000只,其中有522只"Background_Blue"熊。

图1:ShortBearClub的特征稀有度
资产稀有度:代表该项资产的总稀有度分数,可用于横向对比与排名。单个NFT的价值通常很大程度上受到稀有度的影响。对于NFT收藏家来说,当他们在考虑购买哪种NFT时,他们希望花费相同数量的ETH带来最大的回报,于是,稀有度成为最重要的参考指标之一。
已有的稀有度评分模型Rarity.Tools稀有度评分
Rarity.Tools是目前使用最广的稀有度评分工具。它的核心计算方式是:将每个特征出现频率的百分比的倒数总值相加。

美国监管机构认为稳定币绕过监管漏洞,正在研究如何监管稳定币:9月20日消息,美国监管机构认为稳定币绕过监管漏洞,可能会从以下几个方面监管稳定币,分别为:把稳定币指定为系统风险;称稳定币为证券;视稳定币为货币市场共同基金;像监管银行一样监管稳定币;美联储正在研究与稳定币有竞争性质的中央银行数字货币 (CBDC)。
此外,全球性监管机构金融稳定委员会正在研究建立稳定币相关的标准和计划,可能会在 2023 年出台相关监管。(纽约时报)[2021/9/20 23:37:37]
图2:rarity.tools的稀有度模型
不过,Rarity.Tools在近期调整了它的计算模型,且没有公开披露具体细节。
Rarity.Tools是NFTSummer爆发前就有的一款NFT稀有度数据分析工具,它的优势在于计算模型简单易懂。用户可以很直观地看出哪个特征在整体稀有度分数中贡献度更大。但是简单加总法的缺点是可能会高估或低估一项资产的真实稀有度。例如,若某个特征或者特征数量的分数过高,会在一定程度上拉高该NFT的排名,但用户可能对该特征并不是很关注。
NFTEXP稀有度评分
在NFTEXP的稀有度计算更为复杂,目前尚未披露。我们只能从NETEXP官网中获得NFTEXP模型的大概思路。
以"Chubbies"项目为例,其中两个特征的频率如下:
脸部:Blushed,有1053个。
发型:Afro,有1110个。

美国国会研究人员:立法者需考虑数字货币立法将如何影响美元:金色财经报道,美国国会研究服务局在其题为“美元作为世界主要储备货币”的报告中称,不断增长的加密货币空间的影响并没有引起任何与美元地位有关的重大担忧。报告承认,尽管“加密货币仍然是一个小而动荡的利基市场”,但中央银行数字货币(CBDC)正在兴起。报告指出,迄今为止,尚无证据表明美元已脱离主要储备货币。但是,国会不妨考虑一下包括制裁和数字货币在内的一系列政策领域的立法将如何影响美元。[2020/12/22 16:03:19]
图3:"Chubbies"项目一览(来源NFTGO.io)
从百分比上来看两个特征的稀有度几乎相同。但是:「Blushed」的特征稀有度评分为8,而Afro的特征稀有度评分为17。这是因为发型特征只有四种,脸部特征一共有13种。所以,一个「Blushed」的真实稀有度低于“平均脸”,而一个「Afro」的真实稀有度高于平均水平。
NFTEXP的特征稀有度考虑到了特征中类别数的影响。每个特征的出现频率会与平均频率进行比较,相应的调整特征评分。但NFTEXP也存在和Rarity.Tools同样的缺点,会在下一节“异常情况对比”中详细阐述。
更合理的稀有度评分模型
一般来说,稀有的同义词还有特殊、独特。一件事物是否稀有,主要取决于它与群体内其他事物的差异性。差异性越大,代表这件事物更加特殊和罕见。那么,若能量化这件事物与群体内其他事物的综合差异,即能反映出它在群体内的稀有度。NFTGO基于这一原则,研发出一种更科学的方法来评估NFT的稀有度——基于Jaccard距离的稀有度评分方式。
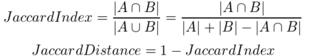
什么是Jaccard距离?
Jaccard距离是一个统计学的方法,用于测试样本集之间的不相似性,范围为从0到1。其数学公式为:
维珍银河董事长:PayPal消息传出后各大银行讨论如何支持比特币:维珍银河董事长Chamath Palihapitiya今晨发推表示,PayPal消息传出后,各大银行都在开会讨论如何支持比特币。它不再仅作为一个选项。[2020/10/22]

Jaccard距离是一种常见的数据科学测量方法,用于计算对象之间的差异性。其逻辑看起来类似于维恩图,衡量样本集之间的交集大小。
如何计算NFTGO稀有度评分?
NFTGO基于Jaccard距离来纯粹地统计NFT特征的相似度。我们以计算BAYC#1154稀有度评分为例:
计算#1154与同系列中其他9999个NFT的Jaccard距离
计算Jaccard距离的平均值,这就是稀有度分数的初始数据
使用极差法处理上一步的数据。极差法的数学公式为:

用上一步得出的z-score乘以100,即为BAYC#1154的最终稀有度分数。然后在一个集合中根据分数进行排名(稀有度分数的范围从0到100),得到该NFT的最终稀有度排名。
大咖零距离 | BTC价格剧烈波动 如何保持长期盈利:4月1日16:00,金色盘面邀请捞针选手泰迪帮主做客金色财经《大咖零距离》直播间,将分享《BTC价格剧烈波动,如何保持长期盈利》,敬请关注,欲进群观看直播扫描海报二维码报名即可。[2020/4/1]
NFTGO稀有度评分的优势
通过实验对比发现,Rarity.tools和NETEXP的稀有度评分可能会高估或低估一项NFT资产的稀有度,而NFTGO稀有度评分却能在这些异常情况里给出比较合理的结果。
下表展示了NFTGO、Rarity.Tools和NFTEXP三种稀有度评分模型,在计算BoredApeYachtClub(BAYC)系列NFT的稀有度排名时的异常情况。

表1:各工具稀有度排名结果对比
在26个异常值中,前22个猿猴的稀有度评分被Rarity.Tools和NFTEXP高估了,因为“有四个特征属性的猿猴”在总分中占了很大的比例。最后4个猿猴的稀有度评分被Rarity.Tools和NFTEXP低估了,因为“有五个特征属性的猿猴”在总分中占的比例很小。
以BAYC#947为例,NFTGO将其排名为#9994,这几乎是最不稀有的猿猴,稀有度为406。然而,Rarity.Tools将它排在第775位,稀有度为168.23。这是因为Rarity.Tools仅将每个特征和特征数进行简单相加(然而它实际没有额外的特殊特征)。如下图所示,这只猴子并无特别的特征。那为什么这只猿猴在Rarity.Tools中排名前10%?很明显,特征数占稀有度分数的比例过高,在168.23的总分中占136.7分。有四个特征属性的猿猴总数为254个,有六个特征属性的猿猴总数为5,323个。根据Rarity.Tools提供的稀有度计算公式,有四个特征属性的猿猴会比有六个特征属性的猿猴相对稀缺,这其实并不太合理。
金色财经现场报道 海纳云CTO邹均:区块链技术难点在于如何让所有节点统一步调:金色财经现场报道,在2018区块链技术及应用峰会上,海纳云CTO邹均认为,区块链技术当前的限制难点在分布式系统中让所有节点统一步调,区块链目前存在性能限制、扩展性限制、易用性限制、兼容性跨链互联限制、存储限制、治理限制、软件升级限制等问题。[2018/3/31]

图4:Rarity.tools针对BAYC#947的稀有度评分细节

图5:NFTGO针对BAYC#947的稀有度评分细节
再看BAYC#2832和BAYC#8742,很明显,BAYC#2832的评分应该更高,因为它有多样化的特征。并且,BAYC#8742的最高报价也高于BAYC#2832,因此,购买BAYC#2832是更有利可图的,而Rarity.tools低估了它的稀有度。

图6:Rarity.tools针对BAYC#2832和BAYC#8742的稀有度评分细节(数据:2021年12月2日

图7:NFTGO针对BAYC#2832的稀有度评分细节)

图8:NFTGO针对BAYC#8742的稀有度评分细节
图7和图8是NFTGO对BAYC#2832和BAYC#8742的稀有度评分。从页面右侧“特征”视图可以看到,BAYC#2832的各特征属性基本浮动在1%-3%之间,而BAYC#8742特征属性的最低值足有12.42。显然,NFTGO的稀有度评分比Rarity.Tools更加合理。
此外,Rarity.Tools和NFTGO对于CryptoPunks的稀有度评分也能反映其准确性的差异。在Rarity.Toolsv2中排名前二十名的Punk,有接近一半是没有特征的。NFTGO对此类Punk的排名更低一些,因为这些零特征的Punk缺乏多样性,理应降低稀有度评分和排名。

图9:Rarity.Tools中排名前21的CryptoPunk

图10:NFTGO中排名前20的CryptoPunks

表2:CryptoPunk的稀有度排名对比(数据:2021年11月2日)
综上,与RarityTools和NFTEXP稀有度评分相比,基于Jaccard距离的NFTGO稀有度评分是合理且准确的,您可以将其作为收藏NFT的参考。
总结
在购买或出售NFT时,稀有度得分是一种辅助手段。虽然我们使用的稀有度模型在统计学上是正确的,但是不同NFT项目方会给出关于某种属性的更重要的公告。例如CoolCats的官方声明,无檐小便帽或帽子这样的普通物品比电脑头或猿人服装等稀有物品的价值要低。除此之外还有其他方法可以判断NFT资产的价值,如艺术欣赏价值或流动性溢价。再者,也许您更喜欢绿色背景而不是红色背景,这受到了个人主观审美的影响。
基于Jaccard距离来计算一项NFT资产的群体性差异,帮助用户发现NFT的群体性综合差异,实际是更本质地量化了“稀有度”这一概念。您已可以在NFTGO上查看所有NFT的稀有度排名和稀有度评分,希望NFTGO稀有度评分能帮助您在购买或出售NFT时做出更合理的决策。
作者:NFTGO
在元宇宙的热浪不断涌动的大前提下,几乎所有的行业都想要加持一下,试图用元宇宙带来新的生机与希望。社交、电商、游戏、娱乐,无一例外。如果一定要在加持元宇宙的队伍当中,找到出类拔萃者,那么,区块链,无疑是最突出的那一个.
1900/1/1 0:00:00随着加密货币市场市值已突破2万亿美元,如何监管日渐成为各国政府需要迫切面对的问题。比如,美国加密货币领域的一些大人物将于12月8日前往美国国会山出席听证会.
1900/1/1 0:00:001.监管收紧?俄罗斯央行副行长暗示将取缔民间加密货币12月20日外媒消息指出,俄罗斯央行副行长VladimirChistyukhin周一暗示,私人经营的加密货币可能很快就不能再在该国的金融市场上使用.
1900/1/1 0:00:001.金色硬核|Pantera:BTC是庞氏局?不另有一个更大的庞氏局这是一个庞氏局我听这句话已经八年了。监管者一直在谈论泡沫和操纵。市场是对的——有一个庞大的庞氏局正在进行中。让我们调查一下.
1900/1/1 0:00:0012月15日消息,泰国银行计划在明年1月提出有关数字资产行业的全面立法建议。这些规则旨在降低金融网络的风险,并为投资者提供更好的保护.
1900/1/1 0:00:00根据FootprintAnalytics资讯,包括红杉资本印度和SteadviewCapital在内的许多投资者正在与Polygon谈判,旨在购买价值5000万至1.5亿美元的代币.
1900/1/1 0:00:00