
Overview概述
项目优势一:
在过去一周整个去中心化交易所市场的整体交易额为15.85亿美金,其中Uniswap过去一周交易额排名第一,交易总金额为7.3亿美金。Uniswap作为去中心化交易所赛道的最大交易平台,占据了46.08%的市场份额,是该赛道绝对领先者,有望享受的网络效应,继续领跑该赛道。
项目优势二:
Uniswap采用的模型,使用户可以直接在兑换池进行代币兑换,不仅改变了以往的订单簿交易模式,而且降低了做市的门槛,让每一个用户都可以成为某一个交易对的做市商,并分享手续费收益。该机制是DeFi领域的巨大创新,有望进一步抢占传统中心化交易所的用户和流量。自2018年10月上线以来,Uniswap的用户数量呈现指数级增长,截止目前合计约14万用户,每月用户数量的复合增长率约34%。
项目风险一:
当前Uniswap的流动性池总金额为227,049,095美元,其中前五大交易对占整体金额的40.39%。金额最大的交易对为ETH-AMPL,仅此一个项目就占整体交易金额的14.69%。Uniswap上的交易量严重依赖少数头部项目,如果头部项目的交易额以及流动性做市出现下跌,会对整个平台的交易金额产生极大负面影响。
项目风险二:
当前Uniswap并不需要对平台上的用户进行KYC/AML审核,也没有建立对平台上交易的项目代币的审核机制,所以平台上出现了大量的项目,让用户产生巨大损失。此类大量项目的发生,会使得Uniswap团队承受较大的潜在法律风险。
市场前景
去中心化交易所经过3年左右时间的发展,已经开始展现出了迅猛发展的态势,特别是自动做市商制度的推出,更是将去中心化交易所的交易金额由之前的百万美金级别增长到现在的十亿美金级别。根据统计网站DuneAnalytics公布的数据,现在去中心化交易所每天的交易额已经达到3亿美金,每月的交易额也将近45亿美金。
Uniswap Labs:在Uniswap应用程序可以上以市场上最好的汇率购买加密货币:金色财经报道,Uniswap Labs在社交媒体上称,在Uniswap应用程序上可以以市场上最好的汇率购买加密货币。只需支付1-3.5%,取决于地区和支付方式,没有最低费用。对于美国和欧盟/英国的用户,建议使用借记卡或银行转账,以获得~2.5%的交易费用和最高的成功率。[2023/1/7 10:59:04]
图一:去中心化交易所每月交易金额统计

来源:DuneAnalytics
市场份额
根据统计网站DuneAnalytics公布的数据,在过去一周整个去中心化交易所市场的整体交易额为15.85亿美金,其中Uniswap一周交易额排名第一,交易金额为7.3亿美金,整体占比为46.08%。
交易金额排名第二的为去中心化交易所Curve,过去一周交易额为2.76亿美金,交易额占比为17.39%。综上所述,目前Uniswap的市场份额处于绝对领先地位,占据了整个去中心化市场份额的一半左右。
表一:去中心化交易所近一周交易额排名
排名
去中心化交易所
近一周交易额
交易额占比
1
Uniswap
730,485,917
46.08%
2
Curve
275,746,150
17.39%
3
dYdX
129,795,004
8.19%
4
Gemini Opportunity Fund迄今已为比特币社区提供超过225万美元资金支持:金色财经报道,1月13日,据Gemini官方消息,于 2020 年 12 月推出的Gemini Opportunity Fund迄今已为比特币社区提供超过225万美元资金支持。2021年,Gemini Opportunity Fund赞助了四位比特币核心开发人员:Amiti Uttarwar、Dhruv Mehta、Jarol Rodriguez 和 Michael Ford,还承诺在四年内对麻省理工学院的数字货币计划提供100万美元支持,其他项目捐赠包括Mempool.space和加密绿色环保项目Gemini Green和加密交易计划Summer of Bitcoin。[2022/1/14 8:48:08]
0x
112,707,727
7.11%
5
Balancer
112,175,550
7.08%
6
Kyber
72,542,621
4.58%
7
Bancor
49,131,359
3.10%
8
Synthetix
38,255,532
2.41%
9
Oasis
21,233,961
1.34%
IDEX
20,107,307
1.27%
11
Goosis
15,581,093
0.98%
12
Loopring
4,185,720
0.26%
13
DDEX
Uniswap V3 24小时以太坊销毁量达557ETH:据欧科云链链上大师数据显示,当前以太坊销毁量为124.01万ETH,24小时Base Fee均值66 Gwei;昨日以太坊销毁量6424.88ETH,环比上升22.17%。近24小时销毁量前三的协议分别是Uniswap V3 557 ETH、OpenSea 528 ETH以及Uniswap V2 317 ETH。[2021/12/22 7:55:31]
3,260,665
0.21%
合计
1,585,208,606
100%
来源:标准共识、DuneAnalytics
市场定位
Uniswap目前是建立在以太坊网络上的去中心化加密货币交易所,允许用户直接使用其协议交易加密资产。
Uniswap区别于火币、OKEx等中心化交易所,其将做市商自动化,用既定算法替代人工报价,不仅去掉了中心化的撮合与清结算,还消除了交易中的做市商。
做市商不同于普通的交易人员,他们是风险中性的,一手持有代币,一手持有现金。在订单薄模式下,会同时发布买单和卖单,中间为差价。
做市商是流动性的来源,高流动性市场需要做市商也反过来会吸引规模化的做市商参与。
每个人都可以加入流动性池子,只需要将指定的两种资产存入即可,系统通过的模型得出资产价格。
产品介绍
Uniswap作为当前交易额最大的去中心化交易所,其最大的特色是使用了恒定乘积做市商模型。该模型算法,最早来自ETH创始人Vitalik的论文:《Improvingfrontrunningresistanceofx*y=kmarketmakers》。
恒定乘积做市商模型公式非常的简单:x*y=k。令交易的两虚拟货币为X和Y,各自数量为x和y,两货币数量的乘积x*y恒等于k,k值是由第一笔注入的流动性所决定。
因此,用?x数量的X币来购买Y币所能得到的数量?y、或是为了购买?y需要付出的?x数量,依照此公式进行计算:(x+?x)(y-?y)=k,而交易的价格就是两币量?x和?y的比。
DeCredit将为UniArts Network的NFT提供贷款服务:10月16日消息,DeFi 2.0协议DeCredit与多网络NFT生态系统UniArts Network建立战略合作伙伴关系。DeCredit将为UniArts Network的NFT提供贷款服务。[2021/10/16 20:34:18]
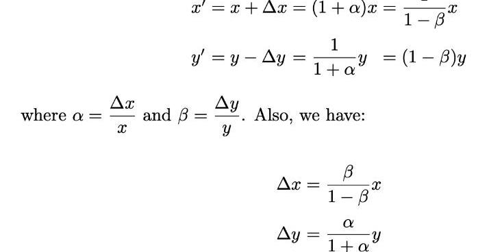
以下公式用α=?x/x和β=?y/y来表示?x和?y及XY两币在交易发生后的新均衡数量:

融资/估值情况
2019年4月,Uniswap完成种子轮融资,融资金额约100万美元,投资方为投资机构Paradigm,如果按照20%的稀释额度测算,预期估值约500万美元。
2020年8月7日,Uniswap创始人HaydenAdams在官网发文宣布正式获得由a16z牵头的1100万美元A轮融资,其他投资者还包括USV、Paradigm、VersionOne、Variant、ParafiCapital、SVAngel和A.Capital。如果按照8%-15%的稀释额度测算,预期估值约1.5亿美元。
表二:Uniswap历史融资情况

来源:标准共识、公开资料
代币情况
Uniswap至今还未发行平台代币。
竞争对手分析
目前在去中心化交易所赛道,主要的项目约为13个,如果按照交易类型分类,则可以主要分为两大类:兑换池和订单簿。
DeFi项目Union Finance获KR1 PLC 7.5万美元投资:区块链投资公司KR1 PLC透露,其已向DeFi项目Union Finance投资了7.5万美元。Union Finance允许个人和组织在区块链上获得贷款,而不需要抵押品、信用评分或公开账簿上的个人信息。KR1董事总经理兼联合创始人Keld van Schreven在一份声明中表示:“DeFi生态系统中锁定的资产总价值已突破10亿美元,我们预计这一数字还会进一步增长。Union Finance正是KR1喜欢的DeFi项目类型。”(Proactive Investors)[2020/5/1]
兑换池类型的去中心化交易所主要是采用自动做市商制度,交易用户直接按照当前价格进行币种兑换,以Uniswap为代表。
而订单簿类去中心化交易所采取的交易机制类似于OKEx等传统中心化交易所,买卖双方通过挂单撮合成交,以0x、IDEX等项目为代表。
表三:去中心化交易所项目基本情况统计
去中心化交易所
交易类型
近一周交易用户
近一周交易额
交易额占比
Uniswap
兑换池
3,924
730,485,917
46.08%
Curve
兑换池
851
275,746,150
17.39%
dYdX
订单簿
379
129,795,004
8.19%
0x
订单簿
1,069
112,707,727
7.11%
Balancer
兑换池
63
112,175,550
7.08%
Kyber
兑换池
5,384
72,542,621
4.58%
Bancor
兑换池
1,106
49,131,359
3.10%
Synthetix
订单簿
580
38,255,532
2.41%
Oasis
订单簿
81
21,233,961
1.34%
IDEX
订单簿
5,040
20,107,307
1.27%
Goosis
订单簿
1,655
15,581,093
0.98%
Loopring
订单簿
224
4,185,720
0.26%
DDEX
订单簿
41
3,260,665
0.21%
来源:标准共识、DuneAnalytics
通过上述对比,Uniswap目前在成交金额方面暂时遥遥领先,占据了整个市场约50%的市场份额,其他去中心化交易所数据暂时无法与Uniswap相抗衡。
而在交易用户数量方面,过去一周Uniswap的用户数量为3,924个,少于Kyber的5,384、IDEX的5,040,在所有的去中心化交易所中排名第三,这说明Uniswap的人均交易金额要高于Kyber和IDEX。
社群治理
社交平台热度
从谷歌指数来看,Uniswap的搜索热度自2020年3月开始,出现了显著增长,排名前三的主要搜索地区为中国、圣赫勒拿群岛、新加坡。
图二:Uniswap的谷歌搜索趋势

来源:谷歌趋势
从其他社交平台粉丝数量来看,项目粉丝数量较多,平台上的粉丝互动也较为活跃。
表四:Uniswap的社区平台粉丝数量
主要社交平台
粉丝数量
链接
3.3万
https://twitter.com/UniswapProtocol
Discord
6,392个
https://discord.com/invite/XErMcTq
2.9K
https://www.reddit.com/r/UniSwap/
来源:标准共识、公开信息
活跃用户变化情况
自2018年10月上线以来,Uniswap的用户数量呈现指数级增长,截止目前合计约14万用户,每月用户数量的复合增长率约34%。
图三:Uniswap的用户总数量历史表现

来源:DuneAnalytics
相关风险
经营风险
当前Uniswap的流动性池总金额为227,049,095美元,其中前五大交易对流动性池子金额为91,711,239美元,占整体金额的40.39%。其中最大的流动性交易对为ETH-AMPL,其流动性金额合计为33,346,110美金,占整体比为14.69%。
表五:Uniswap平台上前五交易对流动性池金额
前五大交易对
流动池金额
整体占比
ETH-AMPL
33,346,110
14.69%
ETH-USDT
20,030,908
8.82%
USDC-ETH
19,114,186
8.42%
DAI-ETH
10,855,422
4.78%
USDC-USDT
8,364,613
3.68%
合计
91,711,239
40.39%
来源:标准共识、Uniswap
ETH-AMPL交易对过去7天的交易金额为96,115,657美金,占Uniswap过去7天交易额的13.16%。所以Uniswap上的交易量严重依赖少数头部项目,如果头部项目的交易额以及流动性做市出现下跌,会对整个平台的交易总金额产生极大影响。
法律风险
当前Uniswap并不需要对用户进行KYC/AML审核,也没有对平台上交易的项目代币进行审核,所以会出现大量的项目,让用户产生巨大损失。根据DeFi门户网站DefiPrime的统计,有大量项目方伪造知名项目的代币在Uniswap上进行交易,比如在2020年7月有用户用价值450美元左右的2枚WETH代币换取了13,504枚假冒的Uniswap平台币,让用户承受巨大损失。所以此类大量项目的发生,会使得Uniswap团队承受较大的潜在法律风险。
标签:UNIUniswapSWAP中心化交易所Miracle UniverseethereumuniswapHiswap Token去中心化交易所币币交易涨跌逻辑
写在前面: DeFi领域目前充斥着各式各样的新协议,例如最近爆火的YFI就是其中之一,但本质上,它并不是真正的DeFi协议,据加密货币研究员Hasu分析表明,类似YFI这样重治理的协议,或多或少都存在托管问题.
1900/1/1 0:00:00DAML是一种主要的智能合约语言,旨在构建企业级区块链应用程序,已与R3的区块链集成。DAML由美国区块链初创公司DigitalAsset开发,现已在R3商业区块链平台CordaEnterprise上提供.
1900/1/1 0:00:008月11日,黄金遭受了7年来最大的单日跌幅,比特币与黄金的关联性创下历史新高,比特币等主流币种也同步下跌。尽管DeFi概念币受比特币下跌的影响,而短暂出现了下跌的趋势,但DeFi热潮并未因此消退。DeFi币种今日一片飘绿.
1900/1/1 0:00:00概述 Galaxy在2020年第二季度的综合收入为3800万美元,而在2019年第二季度为1.13亿美元。该公司表示,其场外交易业务的交易量有所上升,交易量为10亿美元.
1900/1/1 0:00:00转自:券商中国 经济特区成立40周年到来之际,关于深圳的政策利好纷至沓来!8月5日,券商中国记者从深圳市地方金融监管局获悉,为扎实推进落实人民银行总行等四部委发布的《关于金融支持粤港澳大湾区建设的意见》.
1900/1/1 0:00:00与其他加密资产相比,越来越多的采用、相对的稀缺性和良好的宏观经济背景支撑了比特币独立的价格上升趋势。由于价格屡创新高,7月份突破1万美元大关,比特币从阻力位转向支撑位.
1900/1/1 0:00:00