Donotgogentleintothatgoodnight
Defi不仅是加密世界的重要尝试,更是可能引导当前世界的变革。经过2019年的蓄力,2020年初步打开了局面,不管是借贷,还是DEX或衍生品领域,在锁定资产量、借贷量、交易量、用户量等方面都有了很大的提升。而在Defi领域,和中心化交易做市商机制不同,CFMM模式大行其道。本文来探究对比CFMM的各类产品。
传统做市商的在Defi的痛点
在传统交易所的工作流中,做市商需要根据当前市场的情况下创建订单,订单要在链上挂出。受制于在当前公链的打包效率上,某些订单可能得等上好一段时间才会被打包,或者一直等待,这样大大制约了做市商的资金使用效率。同时市场瞬息万变,可能刚才的价格还未能打包,就需要撤单重新挂单。所以像0x这样的协议就采用链下撮合的方式来解决这个问题。
第二个就是交易手续费,传统做市商对手续费非常敏感,高昂的手续费不仅影响策略的选择,还影响套利空间,从而可能因为无法赚钱而直接放弃。
当然,这里也不意味着传统做市商在Defi上就完全不行,而是受制于这些因素,导致其赚钱效应不如中心化的市场。
什么是CFMM
首先,自动化做市商?并不是在区块链上首创,AMM这个概念在学术界已有10年的深入研究,研究主要集中在信息汇总的设计,以及如何应用于某些市场,在这些市场,回报依赖于世界的某些未来状况,例如预测市场。
人气最高的AMM是「对数市场评价法则」,该法则于2002年提出,被用于大多数预测市场。AMM的信息汇总还有其他策略,例如贝叶斯做市商和动态同注分彩做市商。
但在区块链领域,赋予AMM新的应用场景,可以把这一类AMM称为「常数函数做市商」,即CFMM。
CFMM是专门用于真实金融市场的第一批AMM。加密社区设计出CFMM,使用CFMM来让用户可以自动的交换数字资产,来构建去中心化的数字资产交易所,它建立在一种函数之上,即依据两个或多个资产的可用数量来建立一种预先定义的价格组合。与基于订单簿的传统交易所不同,交易者是与一个资产池、而不是与某个特定的对手方交易。CFMM不需要中心化的机构介入,将用户的资产汇集成资金池,根据资金池的资产配置,通过智能合约一定的算法来自动报价,成交用户的买卖单,从而达到了资产交换的目的。
值得注意的是,和传统做市商不同,CFMM需要一定的用户资金来提供流动性,资金越多,流动性越好,当然CFMM也会将所有的交易手续费回馈给提供流动性的用户,从而鼓励更多的用户加入。从提供流动性的用户来看,这类似于一个理财产品。但是CFMM并不能保证用户一定有正收益,在币价大幅波动时,可能会引起损失。
CFMM的优势
体验好
上面说过传统的做市商痛点。而采用CFMM的模式,只要流动池汇集足够多的资产,合约自动根据当前资金池的资产配备给出当前的报价,用户能立即成交,其速度和体验都相当好。
ZSC智能链已支持CFX进行链上交互:5月2日消息,CFX作为跨链资产接入ZT智能链ZSC链。届时,CFX将参与ZSC链上交互,深度参与ZSC生态,支持DEX、借贷、流动性挖矿等多种链上应用场景。
CFX将助力ZSC共同打造多元化区块链生态,促进区块链技术项目的生态发展,丰富区块链应用场景。[2021/5/2 21:17:49]
更易获取流动性
在基于订单簿的交易所,引导流动性是一个特别费力、成本极高的过程。通常情况下,交易所需要找到做市商,让他们编写用于定价和发布订单的客制代码,并经常直接提供帐户和资金,以便于交易。由于CFMM鼓励被动的市场参与者将其资产借给资金池,因此它们使流动性的提供的便利度有数量级的提升。
用户参与
传统交易所对做市商有较高的资金要求,或者给予高额的配资,否则面临大额吃单容易资金短缺,造成流动性枯竭,从而造成大的价格波动。
而AMM需要聚集用户的资金来提供流动性,虽然单个用户的资金可能不多,但在于数量多,可以聚集起更多的资金,让小资金也有机会提供流动性,从而提升用户的参与感。
价格发现
CFMM提供了一种能力,即无需使用中心化的第三方即可衡量某个资产的价格,从而解决了所谓的「预言机问题」。因此,采用AMM机制的去中心化交易所一个良好的价格发现能力,其他智能合约可以将之作为一个真实信息的来源。
当然当前采用CFMM机制的去中心化交易所的价格跟去中心的有偏差,但随着资产和用户增长,其和真实价格会越来越接近。
现行的CFMM的项目
现行的依托于CFMM来进行的Defi项目主要在以太坊上,当然观察到其他的一些公链也在逐步根据自身的特色来完善相应的CFMM机制。从最初的Bancor,算是一个开拓者,然后是Uniswap,当前已经成长为最大的使用CFMM来进行做市的项目,以及稳定币版本Curve,主打低滑点,和支持多资产储备池的项目Balancer,以及最新的的ShellProtocol。尚未能看到BTC上相应的尝试,主要受制于智能合约的缺陷,在UTXO的生态上,看到有比原链的MOV在进行尝试,其最新推出的超导兑换,也是一种稳定币兑换的方案。
CFMM项目对比的维度
在项目对比之前,需要谈论,针对不同的CFMM其到底需要关心什么,以及新的CFMM项目出现,到底有哪些创新点
核心公式
抵御外部价格波动性与抗损失
流动性提供者收益
兑换资产类型
滑点保护机制
产品体验
Uniswap
Uniswap可谓是炙手可热,当初也只是一个实验性的产品,却一跃成为了明星级别的项目。Uniswap实施的恒定乘积做市商策略,满足如下等式:
Bittrex Global CFO/COO Stephen:在加密货币世界,代币持有人可以和项目方进行更多互动:10月27日至28日,火币“无限未来——2020年区块链大航海时代”行业峰会暨火币集团七周年线上峰会正式举行。
在峰会“如何判定项目价值,市场价值和应对市场风险”圆桌讨论中,Bittrex Global CFO/COO Stephen Stonberg分享观点:加密货币领域有一个独特的创新之处,就是项目的用户通常是代币的持有人,代币持有人可以和项目方进行很多互动。但是,对比传统互联网,像Facebook、Twitter、Google等这些通过股市风投和大股东等传统渠道获得融资的尔科技巨头,这类传统大互联网企业经常被曝出监控和盗取用户数据的丑闻,作为普通用户的我们是无法约束这些大公司的行为的,因为他们对企业没有实际控制权,也就无需对这些普通用户负责。但是在去中心化领域,上述问题就会少得多。[2020/10/28]

R(α)和R(β)分别是某种资产的储备量,γ是交易费。交易任何数量的某种资产,当改变其储备量时,必须保证:当交易费为0,乘积R(α)R(β)一直要等于常数k。这常被简化为xy=k,x和y分别是两种资产的储备量。在实践中,由于Uniswap收取0.3%的交易费,并将其投入储备,所以每笔交易?k会增大。
转换为图形,即为一条曲线:

Uniswap的优势是非常的简单,但缺点显而易见,就是滑点较大

当在Uniswap中购买的数量大于流动池的2%时,购买该资产就会特别昂贵。
前CFTC主席:金融业赢家将是可使用数字货币技术的人:金色财经消息,今日在美国参议院银行、住房和城市事务委员会《货币和支付数字化》听证会上,前美国商品期货委员会主席Chris Giancarlo表示,谁将成为金融业的赢家和输家?赢家将是那些可以使用数字货币技术降低成本并提高交易速度的人,而输家将是那些无法适应的人。数字货币带来的机会能让社会和国家受益。[2020/7/1]
Uniswap为此设置了0.5%的滑点保护,当你一次购买数量超过流动池的0.5%就会被触发,从而无法成功交易。滑点保护除了保护交易者也保护了流动性提供者,防止过大的无常损失
无常损失:这是由于LP在投入资产后,在没有手续费收入时,面对市场波动和汇率变化,会被套利者不断套取资产,导致自己所占有的池中资产总价值比刚投入时变少了,但是等汇率又回到投入时的汇率时,这部分损失又消失了。
Uniswap当前仅支持两种资产之间的兑换,但可以开通任意ERC20交易对之间的储备池,从而形成一定的长尾效应。这是一个非常酷的功能。


Uniswap整体风格非常暖色和简约风,功能上也非常简洁。链接到Metamask即可使用,对于以太坊的老用户来说体验非常不错。除了加入一个流动性池,也可以自己创建,这对于小的项目方来说提供了一个新的流动性场所,也衍生出IUO的模式。
Curve.fi
Curve.fi更专注于稳定币之间的互换。所以其更像一个专为稳定币交易而定制的Uniswap。但是近期会发现Curve上架了renBTC和wBTC,看起来当前它也不满足于稳定币的交易市场了。但两个资产价值是1:1锚定,以后是要拓展稳定汇率资产交换了。
Curve.fi的创新主要在低滑点,优化了大额交易造成大的滑点损失问题
Curve使用的汇率公式如下:

美国CFTC对加密货币的监管或面临挑战:据亚洲新闻网,一种名为“My Big Coin”鲜为人知的加密货币正处于一个备受关注的案件中心,该案件可能决定美国商品期货交易委员会(CFTC)是否有权对与加密货币相关的欺诈行为做出制裁。今年1月CFTC曾指控“My Big Coin”的发行方涉嫌600万美元的欺诈,“My Big Coin”的律师则辩称,CFTC对加密货币没有监管权力,因为它不是像小麦或棉花那样的商品,也不会使用期货合约进行交易。美国地方法院法官Rya Zobel将于周四听取此案的申诉。[2018/6/14]

和Uniswap相比,其更能咬合贴近直线,从而在较大的区间范围内能够保证更低的滑点,同时在两端也能同时保持无限流动性。
在测试中,Curve的滑点不输中心化交易所。以Coinbase中稳定币之间的交易对DAI/USDC为例,将10万美元级别的订单推入交易系统,Curve略优于Coinbase,而且Coinbase的手续费要比Curve多460美元。
和Uniswap相比,Curve收取更低的手续费0.04%,这意味着对交易用户的吸引力更大,虽然会对流动性提供者单次收益造成下降,但如果交易用户越多,那么其实收益也会更高的。
除了Curve本身的交易手续费,还联合其他的Defi产品推出更多的组合收益,Curve结合了另一个新的DeFi协议iearn之后,收益最高曾达到年化30%。其核心就是寻找其他的借贷平台获取稳定币来获取该借贷平台的额外收益。
在产品上,Curve采用了更复古的极客风格,类似于早期的Dos系统界面,当然这可能受技术极客的欢迎,但可能造成大众审美分歧。

在兑换资产类别上,Curve专注于稳定币的兑换,不要小看这个市场,现行中心化或者去中心化的稳定币不少,需求也是巨大的。
MOV
近期由比原链团队打造的超导协议,也算是第一个非以太坊链上的CFMM的项目了,也是一个稳定币兑换的项目,开始探究一下其优势。
CFTC一名委员表示有兴趣上市ETH:CFTC委员Brian Quintenz表示,CFTC和SEC的工作人员围绕ETH已经召开过一次讨论会,讨论内容包括ETH本质分析,以及是否要将其发展为SEC监管下的证券业务。Quintenz表示对此没有具体的时间表,但应该会在数月之内做决定。据悉,BTC之前也经历过类似的讨论。[2018/5/15]
MOV意图构建更为灵活的适用于稳定币间兑换市场的CFMM函数以及关键参数,MOV将二维函数模型拓展到可灵活调整到多维几何空间,即支持一个储备池中存在多个币种间互相兑换,并解决存入单一资产问题。MOV依然以低滑点作为其优势,同时进行全面风控指导,尤其是外部市场波动风险,包括LP的无常损失、滑点保护机制、被套利问题等。
MOV的核心公式:

在图形显示如下所示

这里要特别指明所谓的多维仅仅是核心表达式可以兼容多种变量,即多个币种,但在同一时空下存在的仅仅是两两间互兑,不存在三者及以上兑换,否则将会升维到真正的多维空间。实际交易场景中也是两两兑换居多。
在滑点上,根据研发团队的实验数据,在50万量级流动性下,一次性大额交易20万美元的滑点为0.29%,相比于几大中心化交易所也具备充分的竞争力。

另外MOV也在?5%~10%范围内设置滑点保护档位,给予一次性大额交易充分的滑点保护,避免给交易者带来过大损失。另外一档保护为,如果上链时发现与用户提交时汇率不同,可以允许有0.01%的偏差,超过则回退资产。
MOV同时针对LP进行滑点保护,滑点保护机制会检测LP的范围超出,在微小范围内允许LP继续存,否则回退操作。在极端被大量套利的情况下,官方套利者及时接受过度套利空间,之后将利润返还给LP。
除此之外,MOV公布了年化计息模型,这是Curve所没有的:
如果没有流动性大小的任何变化,不论流动池中两种币的比例如何变化,甲的百分比不变,依然是自己持有的ctoken数量除以当前总发行的ctoken数量;
当流动性大小改变后,计算出新的D值D1,然后此时总发行的ctoken数量是之前的D1/D0倍,如果此时甲提取自己的资产,百分比为甲持有的ctoken除以此时总发行的ctoken的数量。
在产品上,MOV主要以移动端为主,其超导相关的功能分为理财和兑换两个板块

可以将两个币种投入,并能够获取当前的利率情况,还是非常清晰的

兑换类似于一键兑换,只要流动池内数量足够,可以很快的进行兑换。
移动端的优势是使用非常方便,但MOV是直接集成在钱包内的,对于非钱包用户可能使用不太方便,这是需要完善的地方,可以考虑作出H5,即可以移动端访问也可以页面访问更好。
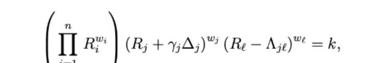
Balancer
Balancer简单理解为Uniswap的通用化版本。Balancer将池中的代币,从2个增加为多个,将各50%的比重改为完全自定义的比例,也就是说,在某个池中,不再限定为必须各注入50%价值比例的相应代币,而是注入用户自定义比例价值的代币,例如75%的MKR和25%的ETH。
Balancer采用了恒定平均值做市商,是恒定乘积做市商的一种概括,可用于超过两种资产的情况,权重可不限于50/50。核心公式如下:

图形如下:

和Uniswap相比,Balancer有几个优势:
多资产的支持:Balancer最多支持8种资产
费率自定义:用户可自定义手续费,而不是像Uniswap一样是0.3%
更具的想象力:可以构造指数基金生成器,比如:追踪加密货币大盘情况,可以由比特币、以太坊和DAI组成;追踪DeFi生态,可以由DeFi协议的原生代币组成,比如MKR、ZRX、KNC、BNT等;
当然Balancer也有缺陷,因为多种资产的汇入,不同的比例,将会在某些临界点,造成资产的失衡,从而导致更大的滑点。
从产品上看,Balancer将交易和流动性池做了分离,需要从不同的入口进入。体验上稍有差异,但因为涉及到多种资产,并且比较复杂,所以分离也是没有问题的。


几个项目对比
从多个维度对项目进行总结对比
滑点
交易手续费
Gas消耗
LP收益
兑换资产类型
产品体验
交易效率
成熟度
Uniswap
较高
较高
高
较高
任何支持的ERC20
好
中
较为成熟
Curve.fi
低
低
高
高
稳定币
UI可能会引起分歧
中
一般
MOV
低
低
无
高
稳定币
好,速度快
高
刚起步
Balancer
高
自定义
高
中
任何支持的ERC20
好
中
未成熟
写在最后
大家知道在区块链行业,不论是技术,模式还是应用,更新迭代非常快,很多出生时众星捧月的项目最后也只是昙花一现。那么CFMM会不会也有这样的情况呢?
根据AndrewBakst观点,自动化做市商使得某区块链上的各资产之间能进行无摩擦交易,区块链和自动化做市商的结合将使得付款方用于支付的资产不再必须是收款方愿意接受的同一种资产。也就是说任何的资产都可以作为一种交易媒介,而不再需要法币来作为媒介。
区块链的第一步是将资产?都放到链上,但资产的定价和交易仍然存在一定的问题。那么通过自动化做市商来解决这个问题,A可以用数字欧元、亚马逊股票,而B可以收到数字美元、苹果股票。只要有相应的自动化做市商来承担相应的业务:任何资产都可以成为一种交易媒介。
从这里,可以看到CFMM的巨大潜力,现在以太坊上相关的生态也是蓬勃发展,锁定了越来越多的资产,虽然遇到了一些安全事件,打击了部分参与者的信心,但是道路曲折,相信其未来一定是光明的。
来源:区块链前哨,作者:JamieRedman,译者:杨志昂ASIC制造行业,很可能只有2~3家公司能够长期存活下来。6月27日,美国比特币矿场CoreScientific宣布向比特大陆购买17595台S19蚂蚁矿机.
1900/1/1 0:00:00说明:本文对Compound最近发行的COMP治理通证的经济模型进行一般性评价。特意指出是“一般性”,是因为没有使用专业的分析方法,比如通证流量表和仿真模型.
1900/1/1 0:00:00近日,DeFi项目好不热闹,前有Compound治理代币COMP上线暴涨,后有交易所“强上”dForce代币DF,而且这两个项目上线都最高暴涨近400%。可以预见的是,DeFi项目发币潮或成今年下半年的趋势.
1900/1/1 0:00:002020年以来,DeFi代币锁仓量和活跃地址数屡破新高,以COMP和BAL等为代表的DeFi代币价格暴涨,将DeFi代币总市值推向新高。目前,DeFi俨然已成为区块链行业的头号热点之一.
1900/1/1 0:00:00要点: 以太坊开发人员求助于社区,为以太坊改进提案1559提供资金。EIP1559旨在改善繁琐的交易费用.
1900/1/1 0:00:00字数:1059 原文链接:https://medium.com/ideo-colab/meet-the-safg-defis-emergent-framework-for-participatory-investing-and-pro.
1900/1/1 0:00:00